| Обозначение: |  ГОСТ 26620-85 |
| Статус: | действующий |
| Название рус.: | Пакеты съемных многоместных и кассетных пресс-форм и пресс-формы одноместные для изготовления манжет гидравлических устройств. Исполнительные размеры формообразующих деталей |
| Название англ.: | Sets of portable multi-impression and casseta press-moulds and single impression for manufacturing rubber upacking seals. Executive dimensions of formed articies |
| Дата актуализации текста: | 06.04.2015 |
| Дата актуализации описания: | 01.07.2023 |
| Дата издания: | 07.03.1986 |
| Дата введения: | 01.07.1987 |
| Код ОКП: | 396381 |
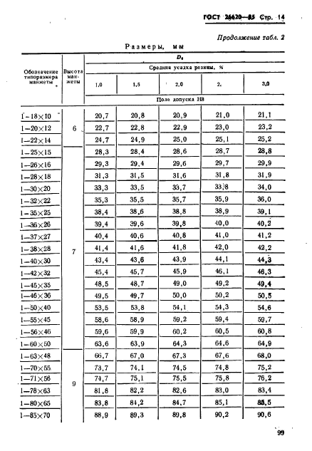
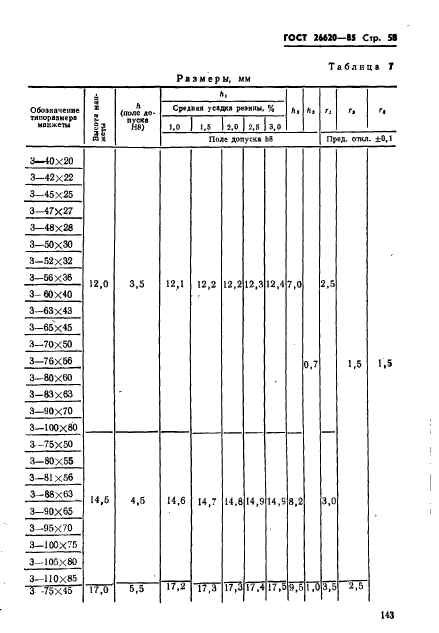
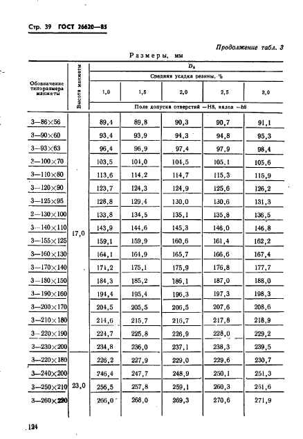
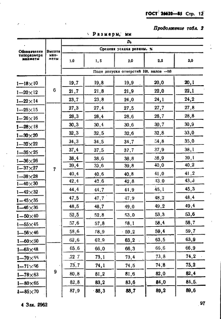
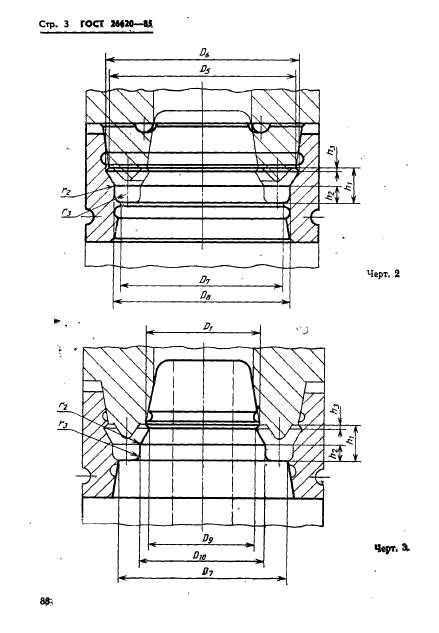
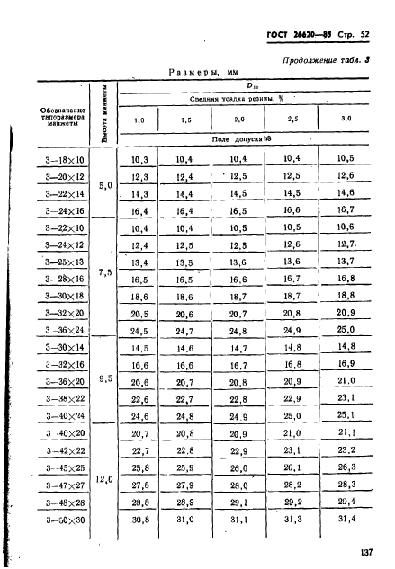
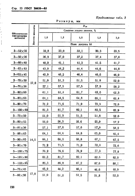
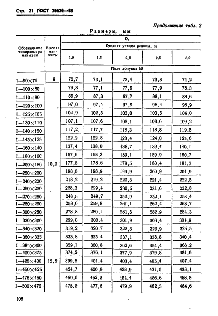
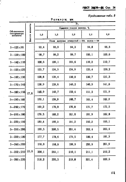
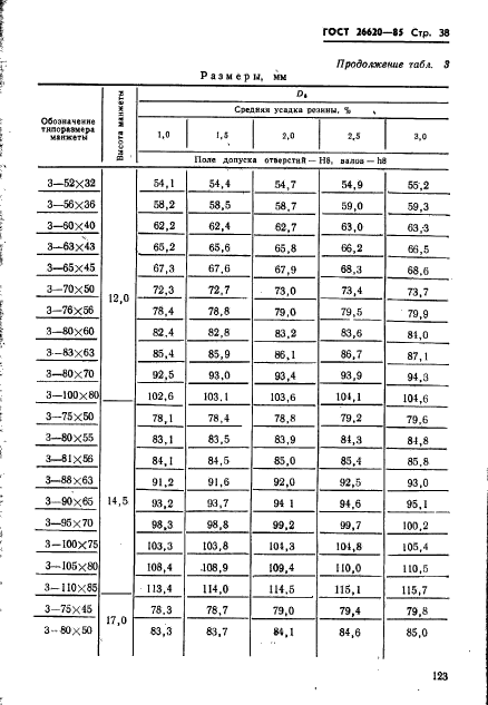
| Область применения: | Настоящий стандарт устанавливает исполнительные размеры формообразующих деталей пакетов съемных многоместных пресс-форм по ГОСТ 26616-85, трехкассетных пресс-форм по ГОСТ 26617-85, двухкассетных пресс-форм по ГОСТ 26618-85 и одноместных пресс-форм по ГОСТ 26619-85 для изготовления уплотнительных манжет по ГОСТ 14896-84 из резины с линейной послевулканизационной усадкой от 0,8 до 3,2 % |
|