| Обозначение: |  ГОСТ 27430-87 |
| Статус: | не действует в РФ |
| Название рус.: | Машины электрические вращающиеся. Условные обозначения для описания синхронных машин |
| Название англ.: | Electrical rotary machines. Conventions for description of synchronous machines |
| Дата актуализации текста: | 06.04.2015 |
| Дата актуализации описания: | 01.01.2026 |
| Дата издания: | 21.01.1988 |
| Дата введения: | 01.07.1988 |
| Дата окончания срока действия: | 28.05.2025 |
| Код ОКП: | 330000 |
| Содержит требования: | IEC 60034-10(1975) |
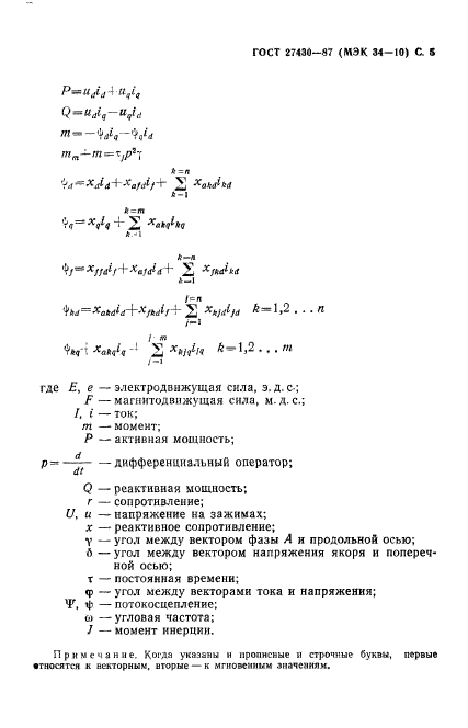
| Область применения: | Настоящий стандарт устанавливает некоторые правила описания параметров синхронных машин в относительных единицах, базирующихся на принятых для электрических и магнитных цепей обозначениях |
|