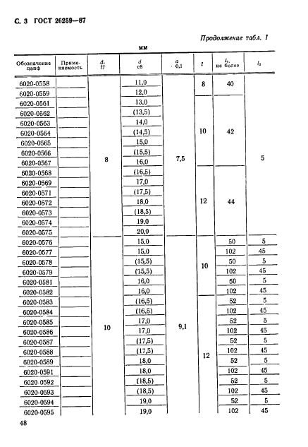
| Обозначение: |  ГОСТ 26259-87 |
| Статус: | действующий |
| Название рус.: | Цапфы направляющие. Конструкция и размеры |
| Название англ.: | Cuides. Design and dimensions |
| Дата актуализации текста: | 06.04.2015 |
| Дата актуализации описания: | 01.07.2023 |
| Дата издания: | 05.02.1988 |
| Дата введения: | 01.01.1989 |
| Код ОКП: | 392800 |
| Взамен: | ГОСТ 26259-84 |
| Нормативные ссылки: | ГОСТ 4543-71; ГОСТ 11284-75; ГОСТ 16093-81; ГОСТ 24705-81 |
| Область применения: | Настоящий стандарт распространяется на сменные направленные цапфы к цилиндрическим цековкам для обработки опорных поверхностей |
|