| Обозначение: |  ГОСТ 28717-90 |
| Статус: | действующий |
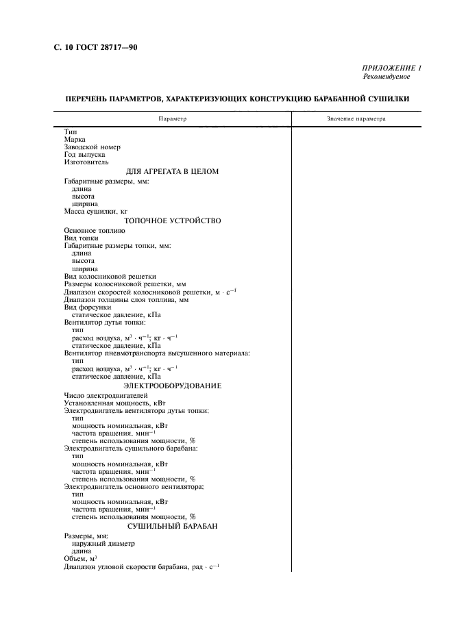
| Название рус.: | Машины сельскохозяйственные и лесные. Сушилки барабанные. Методы испытаний |
| Название англ.: | Agricultural and forest machines. Cylinder driers. Methods of testing |
| Дата актуализации текста: | 06.04.2015 |
| Дата актуализации описания: | 01.07.2023 |
| Дата издания: | 01.06.2005 |
| Дата введения: | 01.07.1991 |
| Содержит требования: | СТ СЭВ 6943-89 |
| Нормативные ссылки: | ГОСТ 2.601-68; ГОСТ 12.2.002-81; ГОСТ 12.2.003-74; ГОСТ 12.2.042-79; ГОСТ 27.002-83; ГОСТ 147-74; ГОСТ 13496.14-87; ГОСТ 13496.17-84; ГОСТ 15895-77; ГОСТ 23728-88; ГОСТ 23730-88; ГОСТ 24057-88; ГОСТ 26025-83; ГОСТ 26026-83 |
| Область применения: | Настоящий стандарт распространяется на барабанные и пневмобарабанные сушилки, предназначенные для сушки зеленого корма и корнеплодов, и устанавливает методы их испытаний |
|