| Обозначение: |  ГОСТ 28702-90 |
| Статус: | не действует в РФ |
| Название рус.: | Контроль неразрушающий. Толщиномеры ультразвуковые. Общие технические требования |
| Название англ.: | Non-destructive testing. Ultrasonic thickness gauges. General technical requirements |
| Дата актуализации текста: | 06.04.2015 |
| Дата актуализации описания: | 01.07.2023 |
| Дата издания: | 01.05.2005 |
| Дата введения: | 01.01.1992 |
| Дата окончания срока действия: | 01.07.2015 |
| Код ОКП: | 427611;427612;427613;427614;427615;427616;427617 |
| Взамен в части: | ГОСТ 4.177-85 в части акустических толщиномеров |
| Содержит требования: | СТ СЭВ 6791-89 |
| На территории РФ пользоваться: | ГОСТ Р 55614-2013 |
| Нормативные ссылки: | ГОСТ 8.051-81; ГОСТ 12.1.001-89; ГОСТ 12.2.007.0-75; ГОСТ 2789-73; ГОСТ 12997-84; ГОСТ 14254-80; ГОСТ 15150-69; ГОСТ 21128-83; ГОСТ 21657-83; ГОСТ 22782.0-81; ГОСТ 25874-83; ГОСТ 26266-90; ГОСТ 27883-88;СТ СЭВ 3230-81 |
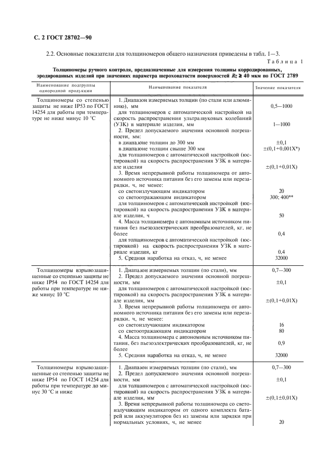
| Область применения: | Настоящий стандарт распространяется на ультразвуковые толщиномеры, предназначенные для измерения толщин изделий в диапазоне от 0,1 до 1000 мм из материалов со скоростью распространения ультразвуковых колебаний в них от 1500 до 12000 м/с |
| Список изменений: | №0 от 30.06.2015 (рег. 05.09.2013) «Поправка к изменению» |
|