Скачать ГОСТ 28670-90 Продукты лесохимические. Упаковка, маркировка, транспортирование и хранениеДата актуализации: 01.06.2025 ГОСТ 28670-90
Продукты лесохимические. Упаковка, маркировка, транспортирование и хранение
| Обозначение: |  ГОСТ 28670-90 |
| Статус: | действующий |
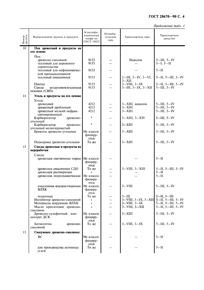
| Название рус.: | Продукты лесохимические. Упаковка, маркировка, транспортирование и хранение | | Название англ.: | Wood chemical products. Packing, marking, transportation and storage | | Дата актуализации текста: | 06.04.2015 | | Дата актуализации описания: | 01.07.2023 | | Дата издания: | 01.06.1999 | | Дата введения: | 01.01.1992 | | Нормативные ссылки: | ГОСТ 2226-88; ГОСТ 2991-85; ГОСТ 5037-97; ГОСТ 5044-79; ГОСТ 5799-78; ГОСТ 6128-81; ГОСТ 6247-79; ГОСТ 8777-80; ГОСТ 9078-84; ГОСТ 9338-80; ГОСТ 9570-84; ГОСТ 9557-87; ГОСТ 10117-91; ГОСТ 10131-93; ГОСТ 10782-85; ГОСТ 11354-93; ГОСТ 12120-82; ГОСТ 13516-86; ГОСТ 13841-95; ГОСТ 13950-91; ГОСТ 14192-96; ГОСТ 15102-75; ГОСТ 15846-79; ГОСТ 17065-94; ГОСТ 17811-78; ГОСТ 18573-86; ГОСТ 19433-88; ГОСТ 19848-74; ГОСТ 20435-75; ГОСТ 21029-75; ГОСТ 21650-76; ГОСТ 24597-81; ГОСТ 24634-81; ГОСТ 26319-84; ГОСТ 26663-85;ОСТ 6-09-108-85;ОСТ 6-15-345-81;ОСТ 6-19-501-78;ОСТ 45-39-86;ОСТ 64-064-88;ТУ 21-РСФСР-368-80;ТУ 38-101169-88 | | Область применения: | Настоящий стандарт распространяется на лесохимические продукты и устанавливает требования к упаковке, маркировке, транспортированию и хранению продуктов, изготовляемых для нужд народного хозяйства и экспорта | |
          
|