| Обозначение: |  ГОСТ 29174-91 |
| Статус: | заменён |
| Название рус.: | Нефтепродукты и смазочные материалы. Масла минеральные смазочные для турбин (категории ISО-L-ТSА и ISО-L-ТGА). Технические требования |
| Название англ.: | Petroleum products and lubricants. Petroleum lubricating oils for turbines (categories ISO-L-TSA and ISO-L-TGA). Specifications |
| Дата актуализации текста: | 06.04.2015 |
| Дата актуализации описания: | 01.07.2023 |
| Дата издания: | 28.07.2011 |
| Дата введения: | 01.01.1993 |
| Дата окончания срока действия: | 01.07.2022 |
| Код ОКП: | 025371 |
| Заменяющий: | ГОСТ 29174-2021 |
| Содержит требования: | ISO 8068:1987 |
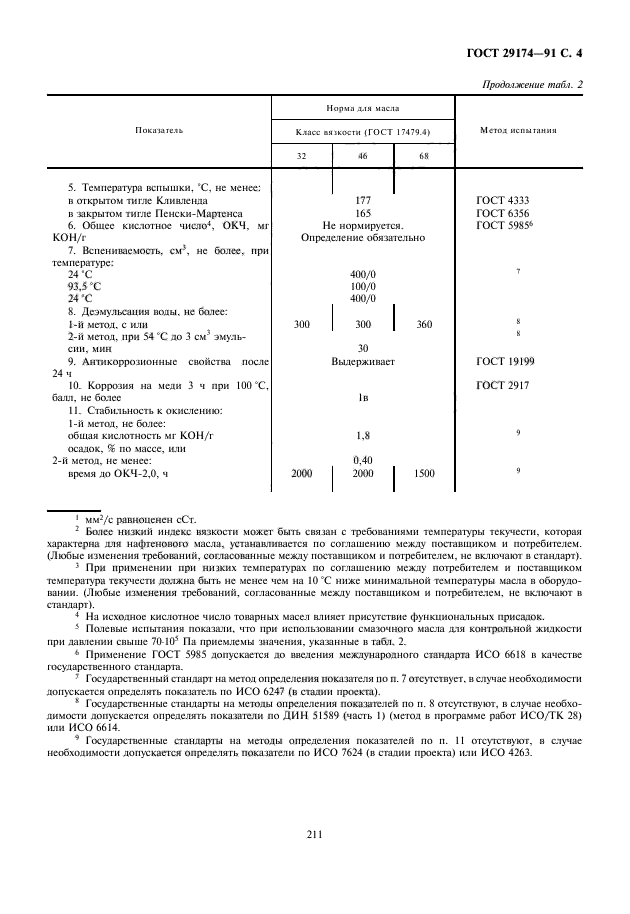
| Нормативные ссылки: | ISO 3104-76;ISO 3170-88;ISO 2160-85;ISO 3675-76;ISO 2592-73;ISO 6618-87;ISO 2719-88;ISO 3448-75;ISO 7120-87;ISO 3016-74;ISO 2909-81;ISO 6743-5-88;ISO 4259-79;ISO 4263-86;ISO 6247;ISO 6614-83;ISO 7624; ГОСТ 33-82; ГОСТ 2517-85; ГОСТ 2917-76; ГОСТ 3900-85; ГОСТ 4333-87; ГОСТ 5985-79; ГОСТ 6356-75; ГОСТ 17479.4-87; ГОСТ 19199-73; ГОСТ 20287-91; ГОСТ 25371-82; ГОСТ 28549.6-90;ОСТ 38.01350-84;DIN 51381;DIN 51589 |
| Область применения: | Настоящий стандарт устанавливает необходимые характеристики минеральных масел, применяемых как смазочные жидкости для систем регулирования паровых турбин, для которых требуются масла категории TSA. Их можно также использовать для газовых турбин, которые используют масла категории TGA, и для гидротурбин. Эти масла не применяются для смазывания высоконагруженных узлов |
|