| Обозначение: |  ГОСТ 30457-97 |
| Статус: | действующий |
| Название рус.: | Акустика. Определение уровней звуковой мощности источников шума на основе интенсивности звука. Измерение в дискретных точках. Технический метод |
| Название англ.: | Acoustics. Determination of sound power levels of noise sources using sound intensity. Measurement at discrete points. Engineering method |
| Дата актуализации текста: | 06.04.2015 |
| Дата актуализации описания: | 01.01.2021 |
| Дата регистрации: | 21.11.1997 |
| Дата издания: | 01.07.1998 |
| Дата введения: | 01.01.1999 |
| Содержит требования: | ISO 9614-1:1993 |
| Нормативные ссылки: | ГОСТ 17187-81 |
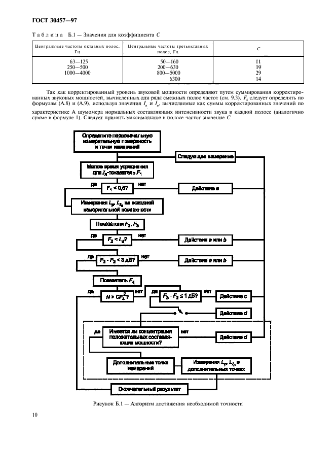
| Область применения: | Настоящий стандарт распространяется на источники звука, расположенные в стационарной среде, не содержащей газовые потоки, воздействующие на акустический зонд для измерения интенсивности звука, и устанавливает метод измерения интенсивности звука в дискретных точках на измерительной поверхности, а также правила вычисления уровня его звуковой мощности |
| Список изменений: | №0 от 01.06.2009 (рег. 01.06.2009) «Дата введения перенесена» |
| Приложение №1: | Поправка к ГОСТ 30457-97 |
|