| Обозначение: |  ГОСТ 17179-71 |
| Статус: | действующий |
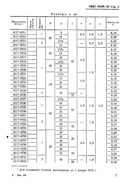
| Название рус.: | Втулки зажимные цилиндрические к токарно-револьверным станкам. Конструкция и размеры |
| Название англ.: | Turret lathe with cylindrical collets. Design and dimensions |
| Дата актуализации текста: | 06.04.2015 |
| Дата актуализации описания: | 01.07.2023 |
| Дата издания: | 01.12.1981 |
| Дата введения: | 01.01.1973 |
| Код ОКП: | 392800 |
| Взамен: | МН 1008-60 |
| Нормативные ссылки: | ГОСТ 1435-74; ГОСТ 17166-71 |
| Область применения: | Настоящий стандарт устанавливает конструкцию и размеры втулок к токарно-револьверным станкам |
| Список изменений: | №1 от 01.07.1981 (рег. 16.03.1981) «Срок действия продлен» |
|