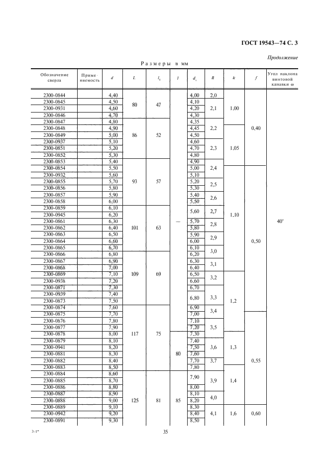
| Обозначение: |  ГОСТ 19543-74 |
| Статус: | действующий |
| Название рус.: | Сверла спиральные с цилиндрическим хвостовиком для обработки легких сплавов. Средняя серия. Конструкция |
| Название англ.: | Twist drills with cylindrical shank for working of light alloys. Middle series. Design |
| Дата актуализации текста: | 06.04.2015 |
| Дата актуализации описания: | 01.07.2023 |
| Дата издания: | 01.08.2003 |
| Дата введения: | 01.01.1976 |
| Код ОКП: | 391231 |
| Взамен: | МН 66-65 |
| Нормативные ссылки: | ГОСТ 14034-74; ГОСТ 19548-74 |
| Область применения: | Настоящий стандарт распространяется на спиральные сверла с цилиндрическим хвостовиком диаметром от 1 до 12 мм точности В, предназначенные для сверления отверстий в легких сплавах |
| Список изменений: | №1 от 01.03.1979 (рег. 27.10.1978) «Срок действия продлен» №2 от 01.11.1988 (рег. 29.05.1988) «Поправка» |
|