| Обозначение: |  ГОСТ 19943-74 |
| Статус: | действующий |
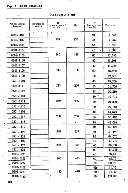
| Название рус.: | Матрицы квадратные пресс-форм литья под давлением. Конструкция и размеры |
| Название англ.: | Square female dies of dies for die casting. Design and dimensions |
| Дата актуализации текста: | 06.04.2015 |
| Дата актуализации описания: | 01.07.2023 |
| Дата издания: | 01.07.1982 |
| Дата введения: | 01.07.1975 |
| Код ОКП: | 396190;396397 |
| Взамен: | МН 1563-61 |
| Нормативные ссылки: | ГОСТ 5950-73; ГОСТ 19946-74 |
| Область применения: | Настоящий стандарт распространяется на заготовки квадратных матриц, применяемых при литье под давлением деталей из цветных сплавов |
| Список изменений: | №1 от 01.01.1981 (рег. 08.04.1980) «Срок действия продлен» №2 от 01.01.1990 (рег. 27.03.1989) «Срок действия продлен» |
|