| Обозначение: |  ГОСТ 13115-75 |
| Статус: | действующий |
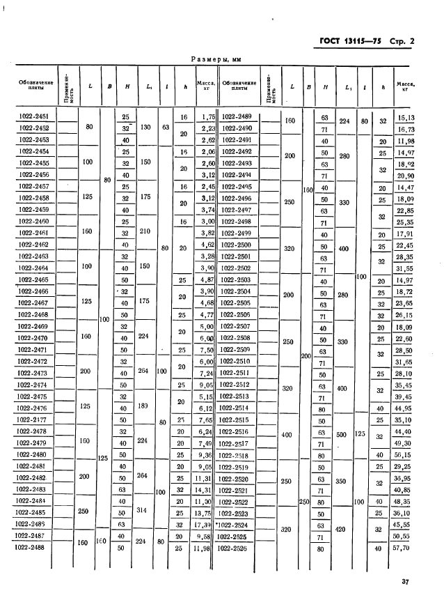
| Название рус.: | Плиты-заготовки с полками по ширине плиты для штампов листовой штамповки. Конструкция и размеры |
| Название англ.: | Die plates with shelves located along the width of cold plastic working dies. Construction and dimensions |
| Дата актуализации текста: | 06.04.2015 |
| Дата актуализации описания: | 01.01.2021 |
| Дата издания: | 01.03.1986 |
| Дата введения: | 01.01.1977 |
| Код ОКП: | 396300;396913 |
| Взамен: | ГОСТ 13115-67 |
| Область применения: | Настоящий стандарт устанавливает конструкцию и размеры плит с полками для штампов листовой штамповки |
| Список изменений: | №1 от 01.07.1981 (рег. 27.02.1981) «Срок действия продлен» №2 от 30.06.1985 (рег. 19.12.1984) «Срок действия продлен» |
|