| Обозначение: |  ГОСТ 606-75 |
| Статус: | действующий |
| Название рус.: | Шрот хлопковый. Технические условия |
| Название англ.: | Cotton ground oil-cake. Specifications |
| Дата актуализации текста: | 06.04.2015 |
| Дата актуализации описания: | 01.07.2023 |
| Дата издания: | 01.01.2002 |
| Дата введения: | 01.07.1977 |
| Код ОКП: | 914612 |
| Взамен в части: | ГОСТ 606-62 в части технических требований |
| Заменяющий в части: | ГОСТ 13979.0-86 в части разд. 2 |
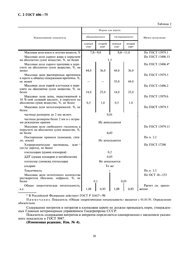
| Нормативные ссылки: | ГОСТ 2226-88; ГОСТ 5947-68; ГОСТ 13496.2-91; ГОСТ 13496.4-93; ГОСТ 13496.15-85; ГОСТ 13979.0-86; ГОСТ 13979.1-68; ГОСТ 13979.3-68; ГОСТ 13979.4-68; ГОСТ 13979.5-68; ГОСТ 13979.6-69; ГОСТ 13979.11-83; ГОСТ 14192-96; ГОСТ 15846-79; ГОСТ 17290-71;ОСТ 18-153-74 |
| Область применения: | Настоящий стандарт распространяется на хлопковый шрот, получаемый по схеме форпрессование - экстракция из предварительно обработанных и обрушенных семян хлопчатника |
| Список изменений: | №1 от 01.07.1978 (рег. 08.02.1978) «Срок действия продлен» №2 от 01.11.1984 (рег. 22.05.1984) «Срок действия продлен» №3 от 01.09.1988 (рег. 26.04.1988) «Срок действия продлен» №4 от 01.09.1989 (рег. 28.03.1989) «Срок действия продлен» |
|