| Обозначение: |  ГОСТ 95-77 |
| Статус: | действующий |
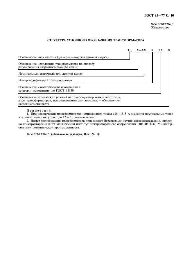
| Название рус.: | Трансформаторы однофазные однопостовые для ручной дуговой сварки. Общие технические условия |
| Название англ.: | Single-operator single-phase transformers for manual arc welding. General specifications |
| Дата актуализации текста: | 06.04.2015 |
| Дата актуализации описания: | 01.07.2023 |
| Дата издания: | 01.06.2001 |
| Дата введения: | 01.07.1979 |
| Код ОКП: | 344185 |
| Взамен: | ГОСТ 95-69 |
| Нормативные ссылки: | ГОСТ 2.601-95; ГОСТ 4.140-85; ГОСТ 12.1.035-81; ГОСТ 12.2.007.0-75; ГОСТ 12.2.007.8-75; ГОСТ 12.3.003-86; ГОСТ 1516.2-97; ГОСТ 2933-93; ГОСТ 8865-93; ГОСТ 9466-75; ГОСТ 11828-86; ГОСТ 12969-67; ГОСТ 14192-96; ГОСТ 14254-96; ГОСТ 15150-69; ГОСТ 15543-70; ГОСТ 15963-79; ГОСТ 16504-81; ГОСТ 16842-82; ГОСТ 16962-71; ГОСТ 17516-72; ГОСТ 18620-86; ГОСТ 22261-94; ГОСТ 23216-78; ГОСТ 24634-81 |
| Область применения: | Настоящий стандарт распространяется на однофазные однопостовые трансформаторы общего назначения с падающими внешними характеристиками для ручной дуговой сварки, покрытыми металлическими электродами, а также предназначенные для экспорта. Настоящий стандарт не распространяется на трансформаторы, работающие под водой, в шахтах, рудниках, космосе, а также трансформаторы бытового назначения |
| Список изменений: | №1 от 01.07.1983 (рег. 17.03.1982) «Срок действия продлен» №2 от 01.01.1986 (рег. 23.04.1985) «Срок действия продлен» №3 от 01.07.1988 (рег. 22.12.1987) «Срок действия продлен» |
|