| Обозначение: |  ГОСТ 1336-77 |
| Статус: | действующий |
| Название рус.: | Фрезы резьбовые гребенчатые. Технические условия |
| Название англ.: | Thread milling cutters. Specifications |
| Дата актуализации текста: | 06.04.2015 |
| Дата актуализации описания: | 01.01.2026 |
| Дата издания: | 01.10.1997 |
| Дата введения: | 01.07.1978 |
| Дата окончания срока действия: | 01.07.2026 |
| Код ОКП: | 391810 |
| Взамен: | ГОСТ 1336-62 |
| Содержит требования: | СТ СЭВ 6291-88;СТ СЭВ 6292-88;СТ СЭВ 6293-88 |
| На территории РФ пользоваться: | ГОСТ Р 72053-2025 |
| Нормативные ссылки: | ГОСТ 8.051-81; ГОСТ 1050-88; ГОСТ 2789-73; ГОСТ 2848-75; ГОСТ 9013-59; ГОСТ 9378-93; ГОСТ 9472-90; ГОСТ 14034-74; ГОСТ 18088-83; ГОСТ 19265-73; ГОСТ 23726-79; ГОСТ 24705-81; ГОСТ 25557-82; ГОСТ 25706-83 |
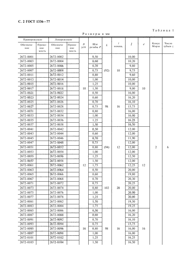
| Область применения: | Настоящий стандарт распространяется на резьбовые гребенчатые фрезы, предназначенные для нарезания наружных 6-й и 8-й степеней точности и внутренних 6-й и 7-й степеней точности метрических резьб с профилем по ГОСТ 24705 в изделиях из конструкционной стали |
| Список изменений: | №1 от 01.09.1982 (рег. 05.04.1982) «Срок действия продлен» №2 от 01.07.1985 (рег. 27.03.1985) «Срок действия продлен» №3 от 01.09.1987 (рег. 12.03.1987) «Срок действия продлен» №4 от 01.01.1990 (рег. 25.04.1989) «Срок действия продлен» №5 от 01.11.1991 (рег. 23.05.1991) «Срок действия продлен» |
|