Скачать ГОСТ 24508-80 Концентраты пищевые. Упаковка, маркировка, транспортирование и хранениеДата актуализации: 01.06.2025 ГОСТ 24508-80
Концентраты пищевые. Упаковка, маркировка, транспортирование и хранение
| Обозначение: |  ГОСТ 24508-80 |
| Статус: | действующий |
| Название рус.: | Концентраты пищевые. Упаковка, маркировка, транспортирование и хранение | | Название англ.: | Food concentrates. Packing, marking, transportation and storage | | Дата актуализации текста: | 06.04.2015 | | Дата актуализации описания: | 01.12.2024 | | Дата издания: | 01.04.2003 | | Дата введения: | 01.07.1983 | | Код ОКП: | 910000 | | Взамен в части: | ГОСТ 18488-73 в части упаковки, маркировки, транспортирования и хранения; ГОСТ 19327-84 в части упаковки, маркировки, транспортирования и хранения; ГОСТ 21149-75 в части упаковки, маркировки, транспортирования и хранения; ГОСТ 2929-75 в части упаковки, маркировки, транспортирования и хранения; ГОСТ 6805-66 в части упаковки, маркировки, транспортирования и хранения | | Нормативные ссылки: | ГОСТ 745-79; ГОСТ 1341-84; ГОСТ 1760-86; ГОСТ 2226-88; ГОСТ 2228-81; ГОСТ 2364-74; ГОСТ 3282-74; ГОСТ 3560-73; ГОСТ 5037-78; ГОСТ 5717-91; ГОСТ 5981-88; ГОСТ 6034-74; ГОСТ 6309-87; ГОСТ 7247-90; ГОСТ 7376-89; ГОСТ 7625-86; ГОСТ 7697-82; ГОСТ 7699-78; ГОСТ 7730-89; ГОСТ 7933-89; ГОСТ 8273-75; ГОСТ 8516-78; ГОСТ 9142-90; ГОСТ 9338-80; ГОСТ 9569-79; ГОСТ 10131-87; ГОСТ 10354-82; ГОСТ 11354-82; ГОСТ 12120-82; ГОСТ 12302-83; ГОСТ 12303-80; ГОСТ 13357-87; ГОСТ 13360-84; ГОСТ 13511-91; ГОСТ 13512-91; ГОСТ 13515-91; ГОСТ 13516-86; ГОСТ 14192-77; ГОСТ 15846-79; ГОСТ 16337-77; ГОСТ 17065-77; ГОСТ 17308-88; ГОСТ 18251-87; ГОСТ 18477-79; ГОСТ 18992-80; ГОСТ 19317-73; ГОСТ 19360-74; ГОСТ 20477-86; ГОСТ 23285-78; ГОСТ 24370-80; ГОСТ 24831-81; ГОСТ 26653-90; ГОСТ 26663-85;ОСТ 18-306-77;ТУ 6-05-1-609-77;ТУ 13-0248643-825-91;ТУ 18 РСФСР 51-80;ТУ 205 Латв. ССР 0141 | | Область применения: | Настоящий стандарт распространяется на пищевые концентраты и устанавливает общие требования к упаковке, маркировке, транспортированию и хранению. Настоящий стандарт не распространяется на пряности и продукты сублимационной сушки толокно и овсяные хлопья "Геркулес" | | Список изменений: | №0 от 30.05.1988 (рег. 29.05.1988) «Срок действия продлен» №1 от 01.03.1985 (рег. 30.08.1984) «Срок действия продлен» №2 от 01.07.1990 (рег. 05.07.1989) «Срок действия продлен» №3 от 01.01.1992 (рег. 20.06.1991) «Срок действия продлен» | |
          
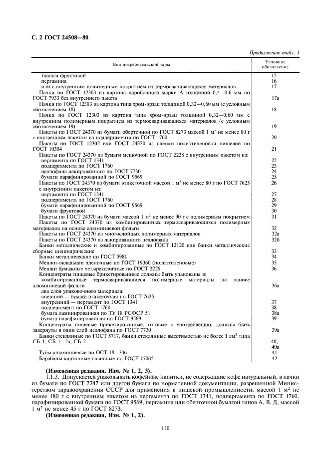
|