| Обозначение: |  ГОСТ 24068-80 |
| Статус: | действующий |
| Название рус.: | Основные нормы взаимозаменяемости. Соединения шпоночные с клиновыми шпонками. Размеры шпонок и сечений пазов. Допуски и посадки |
| Название англ.: | Basic norms of interchangeability. Keyed joints with taper keys. Dimensions of keys and keyways. Tolerances and fits |
| Дата актуализации текста: | 06.04.2015 |
| Дата актуализации описания: | 01.07.2023 |
| Дата издания: | 01.06.1987 |
| Дата введения: | 01.01.1981 |
| Взамен: | ГОСТ 8791-68; ГОСТ 8792-68; ГОСТ 8793-68 |
| Содержит требования: | СТ СЭВ 645-77 |
| Нормативные ссылки: | ГОСТ 6636-69; ГОСТ 8787-68; ГОСТ 8908-81; ГОСТ 24114-80; ГОСТ 24115-80; ГОСТ 24116-80; ГОСТ 24117-80; ГОСТ 24118-80; ГОСТ 24120-80; ГОСТ 24121-80 |
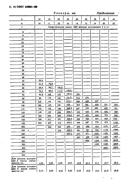
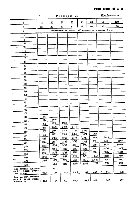
| Область применения: | Настоящий стандарт распространяется на шпоночные соединения с клиновыми шпонками и устанавливает размеры и предельные отклонения размеров клиновых шпонок с головкой и без головки и соответствующих им шпоночных пазов на валах и во втулках |
| Список изменений: | №1 от 01.07.1984 (рег. 01.07.1984) «Срок действия продлен» |
|