| Обозначение: |  ГОСТ 2839-80 |
| Статус: | действующий |
| Название рус.: | Ключи гаечные с открытым зевом двусторонние. Конструкция и размеры |
| Название англ.: | Double-ended open spanners. Construction and dimensions |
| Дата актуализации текста: | 06.04.2015 |
| Дата актуализации описания: | 01.07.2023 |
| Дата издания: | 01.09.1986 |
| Дата введения: | 01.01.1981 |
| Код ОКП: | 392651 |
| Взамен: | ГОСТ 2839-71 |
| Содержит требования: | СТ СЭВ 1287-84 |
| Нормативные ссылки: | ГОСТ 1050-74; ГОСТ 2838-80; ГОСТ 4543-71; ГОСТ 7504-74 |
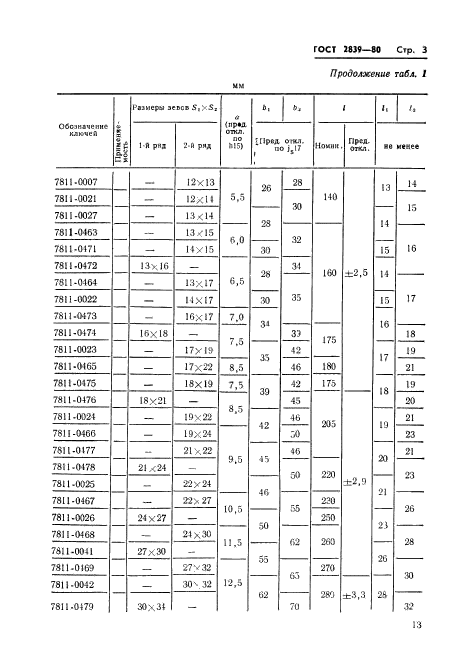
| Область применения: | Настоящий стандарт распространяется на гаечные ключи с открытыми зевами размерами от 2,5х3,2 до 75х80 мм, изготовляемые для нужд народного хозяйства и для экспорта |
| Список изменений: | №0 от 09.04.2007 (рег. 09.04.2007) «Дата введения перенесена» №1 от 01.07.1982 (рег. 23.03.1982) «Срок действия продлен» №2 от 01.01.1986 (рег. 24.04.1985) «Срок действия продлен» |
| Приложение №1: | Поправка к ГОСТ 2839-80 |
|