| Обозначение: |  ГОСТ 25051.2-82 |
| Статус: | не действует в РФ |
| Название рус.: | Система государственных испытаний продукции. Камеры тепла и холода испытательные. Методы аттестации |
| Название англ.: | The state system of testing products. Test chambers of heat and cold. Certification methods |
| Дата актуализации текста: | 06.04.2015 |
| Дата актуализации описания: | 01.01.2021 |
| Дата издания: | 01.11.2003 |
| Дата введения: | 01.07.1983 |
| Дата окончания срока действия: | 01.01.2011 |
| Код ОКП: | 427640 |
| Взамен: | ГОСТ 20497-75 |
| На территории РФ пользоваться: | ГОСТ Р 53618-2009 |
| Нормативные ссылки: | ГОСТ 24555-81 |
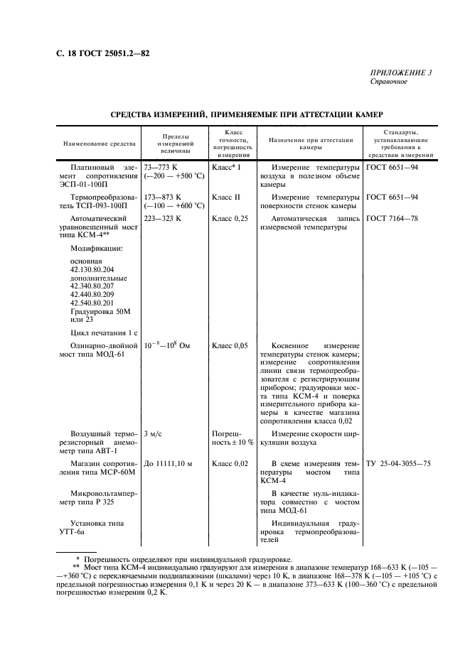
| Область применения: | Настоящий стандарт распространяется на камеры тепла, холода, тепла и холода полезным объемом свыше 0,025 м куб., предназначенные для испытаний продукции на воздействие температур в диапазоне 173-623 К (минус 100 - плюс 350 град. С), и устанавливает методы их аттестации. Настоящий стандарт не распространяется на специальные камеры и камеры для испытаний на надежность |
| Список изменений: | №0 от 01.01.2011 (рег. 15.12.2009) «Поправка к изменению» |
|