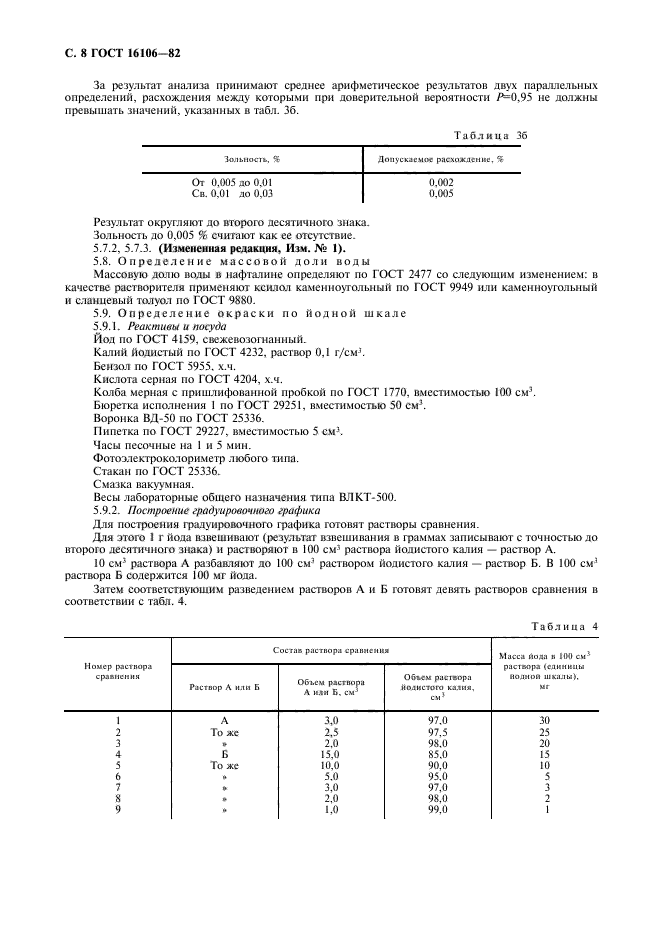
| Обозначение: |  ГОСТ 16106-82 |
| Статус: | заменён |
| Название рус.: | Нафталин коксохимический. Технические условия |
| Название англ.: | Coal-chemical naphthalene. Specifications |
| Дата актуализации текста: | 06.04.2015 |
| Дата актуализации описания: | 01.07.2023 |
| Дата издания: | 01.06.1999 |
| Дата введения: | 01.07.1983 |
| Дата окончания срока действия: | 01.03.2020 |
| Код ОКП: | 241510 |
| Взамен: | ГОСТ 16106-70 |
| Заменяющий: | ГОСТ 16106-2019 |
| Нормативные ссылки: | ГОСТ 12.1.004-91; ГОСТ 12.1.016-79; ГОСТ 12.4.021-75; ГОСТ 400-80; ГОСТ 1770-74; ГОСТ 2053-77; ГОСТ 2226-88; ГОСТ 2239-79; ГОСТ 2477-65; ГОСТ 4159-79; ГОСТ 4165-78; ГОСТ 4166-76; ГОСТ 4197-74; ГОСТ 4204-77; ГОСТ 4232-74; ГОСТ 4255-75; ГОСТ 4528-78; ГОСТ 5445-79; ГОСТ 5520-79; ГОСТ 5955-75; ГОСТ 6263-80; ГОСТ 6709-72; ГОСТ 9147-80; ГОСТ 9880-76; ГОСТ 9949-76; ГОСТ 14192-96; ГОСТ 18300-87; ГОСТ 19433-88; ГОСТ 21650-76; ГОСТ 22235-76; ГОСТ 24597-81; ГОСТ 25336-82; ГОСТ 26319-84; ГОСТ 26663-85; ГОСТ 29227-91; ГОСТ 29251-91; ГОСТ Р 51999-2002 |
| Область применения: | Настоящий стандарт распространяется на нафталин, выделяемый из продуктов коксования углей и применяемый для различных органических синтезов и промышленных целей |
| Список изменений: | №1 от 01.07.1988 (рег. 30.12.1987) «Срок действия продлен» №2 от 01.02.1991 (рег. 24.06.1990) «Срок действия продлен» №3 от 01.01.2008 (рег. 06.06.2007) «Текстовое изменение; Изменены ссылочные НД» |
| Приложение №1: | Изменение №3 к ГОСТ 16106-82 |
|