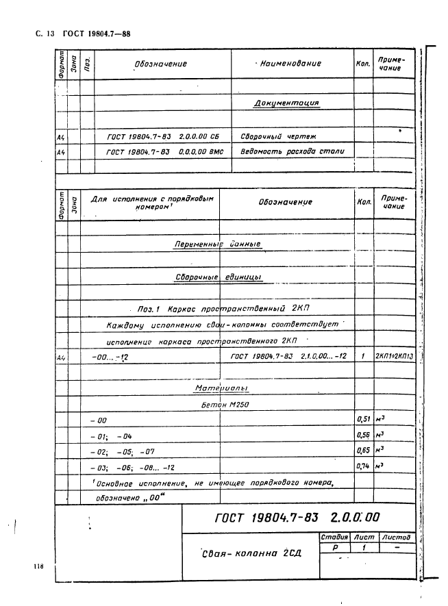
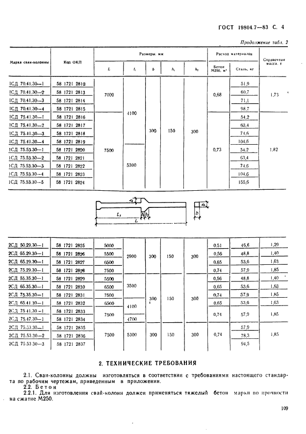
| Обозначение: |  ГОСТ 19804.7-83 |
| Статус: | действующий |
| Название рус.: | Сваи-колонны железобетонные двухконсольные для сельскохозяйственных зданий. Конструкция и размеры |
| Название англ.: | Two-console reinforced concrete pile-pillars for agricultural buildings. Construction and dimensions |
| Дата актуализации текста: | 06.04.2015 |
| Дата актуализации описания: | 01.07.2023 |
| Дата издания: | 01.05.1995 |
| Дата введения: | 01.07.1983 |
| Код ОКП: | 581721 |
| Нормативные ссылки: | ГОСТ 5264-80; ГОСТ 5781-82; ГОСТ 6727-80; ГОСТ 8736-85; ГОСТ 10178-85; ГОСТ 10180-90; ГОСТ 10922-90; ГОСТ 12730.0-78; ГОСТ 12730.1-78; ГОСТ 12730.3-78; ГОСТ 12730.5-84; ГОСТ 13015.1-81; ГОСТ 14098-91; ГОСТ 14771-76; ГОСТ 17623-87; ГОСТ 17624-87; ГОСТ 17625-83; ГОСТ 19804-91; ГОСТ 20268-83; ГОСТ 22690-88; ГОСТ 22904-78; ГОСТ 23009-78; ГОСТ 25781-83;СНиП II-21-75;СНиП II-28-73;СН 393-78 |
| Область применения: | Настоящий стандарт распространяется на забивные железобетонные двухконсольные сваи-колонны квадратного сечения и устанавливает их конструкцию и размеры |
|