| Обозначение: |  ГОСТ 21884-83 |
| Статус: | действующий |
| Название рус.: | Штампы для листовой штамповки. Плиты-заготовки промежуточные для штампов с диагональным расположением направляющих узлов скольжения. Конструкция и размеры |
| Название англ.: | Sheet stamping dies. Intermediate plates-blanks for dies with diagonally positioned guide sliding assemblies. Design and dimensions |
| Дата актуализации текста: | 06.04.2015 |
| Дата актуализации описания: | 01.07.2023 |
| Дата издания: | 12.12.1983 |
| Дата введения: | 01.07.1984 |
| Код ОКП: | 396330 |
| Взамен: | ГОСТ 21884-76 |
| Содержит требования: | СТ СЭВ 3325-81 |
| Нормативные ссылки: | ГОСТ 977-75; ГОСТ 1412-79; ГОСТ 13130-83; ГОСТ 24643-81 |
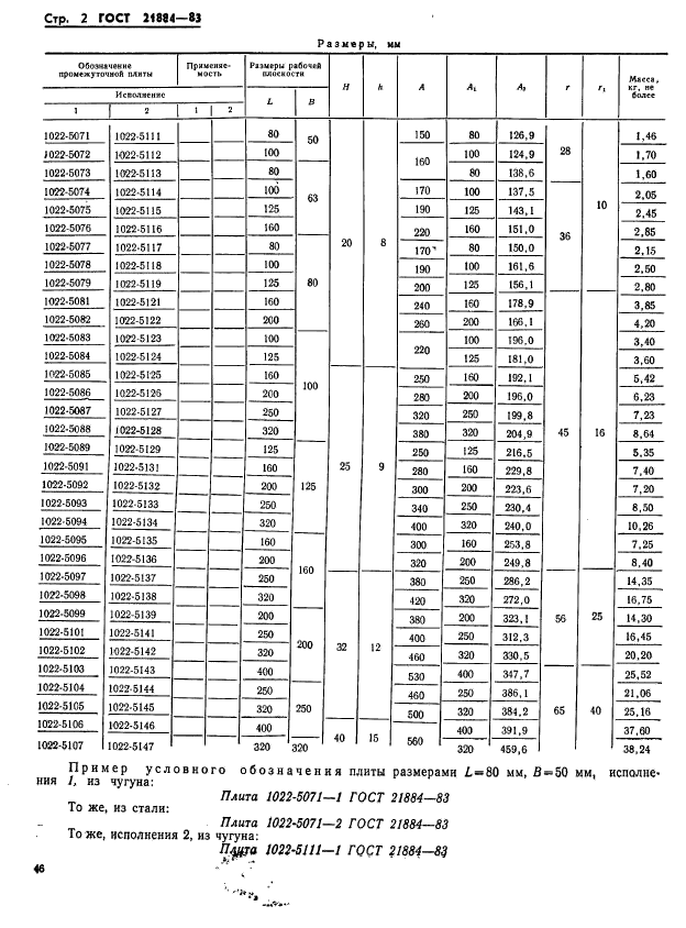
| Область применения: | Настоящий стандарт распространяется на заготовки промежуточных плит из чугунного и стального литья для штампов с диагональным расположением направляющих узлов скольжения |
|