| Обозначение: |  ГОСТ 21882-83 |
| Статус: | действующий |
| Название рус.: | Штампы для листовой штамповки. Блоки штампов с промежуточной плитой с диагональным расположением направляющих узлов скольжения. Конструкция и размеры |
| Название англ.: | Sheet stamping dies. Die sets with intermediate plate with diagonally guide sliding assemblies. Design and dimensions |
| Дата актуализации текста: | 06.04.2015 |
| Дата актуализации описания: | 01.07.2023 |
| Дата издания: | 12.12.1983 |
| Дата введения: | 01.07.1984 |
| Код ОКП: | 396330 |
| Взамен: | ГОСТ 21882-76 |
| Содержит требования: | СТ СЭВ 3325-81 |
| Нормативные ссылки: | ГОСТ 13110-83; ГОСТ 13111-83; ГОСТ 13118-83; ГОСТ 13121-83; ГОСТ 13130-83; ГОСТ 21884-83 |
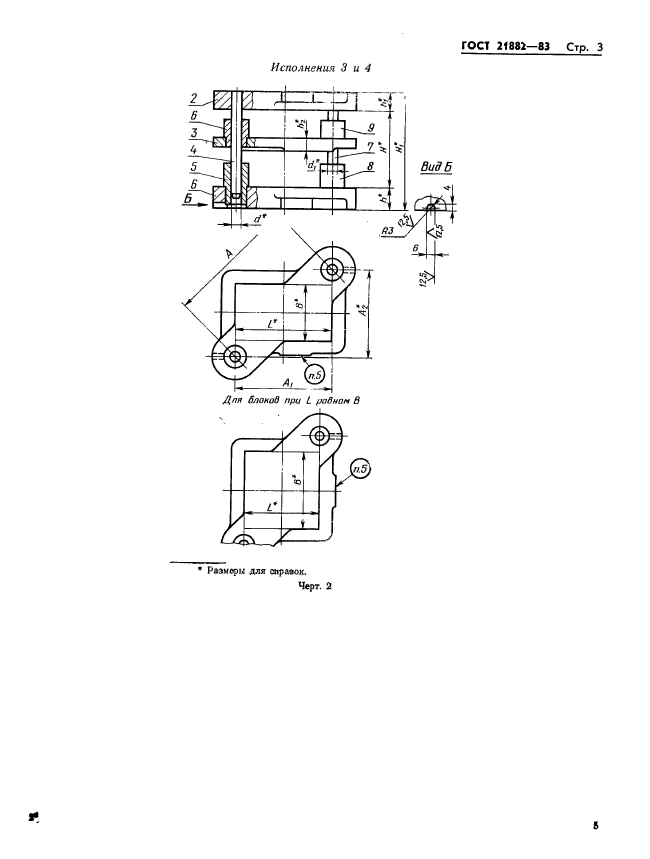
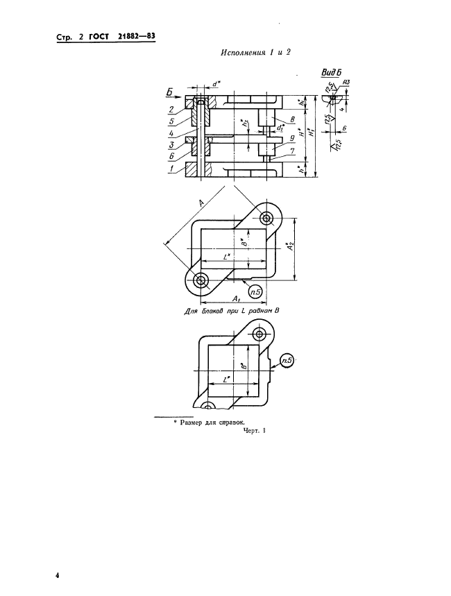
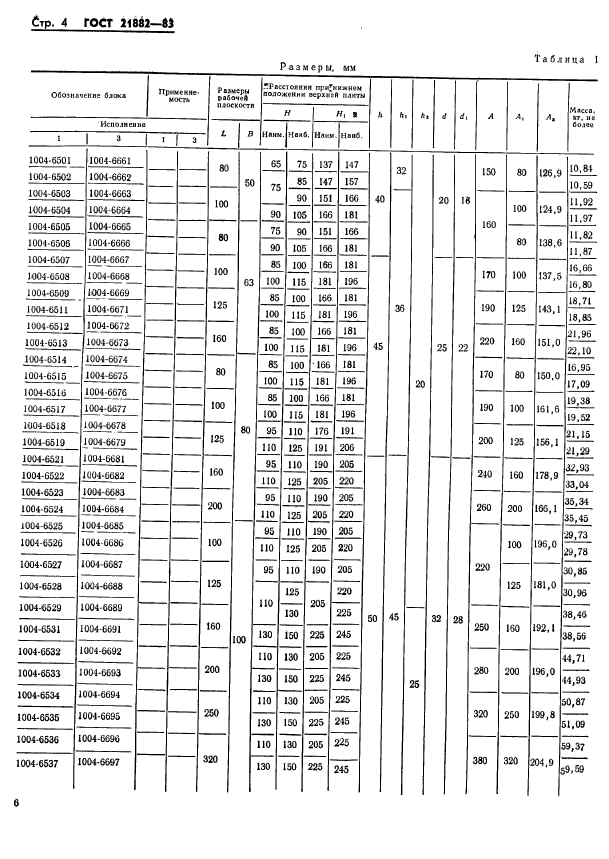
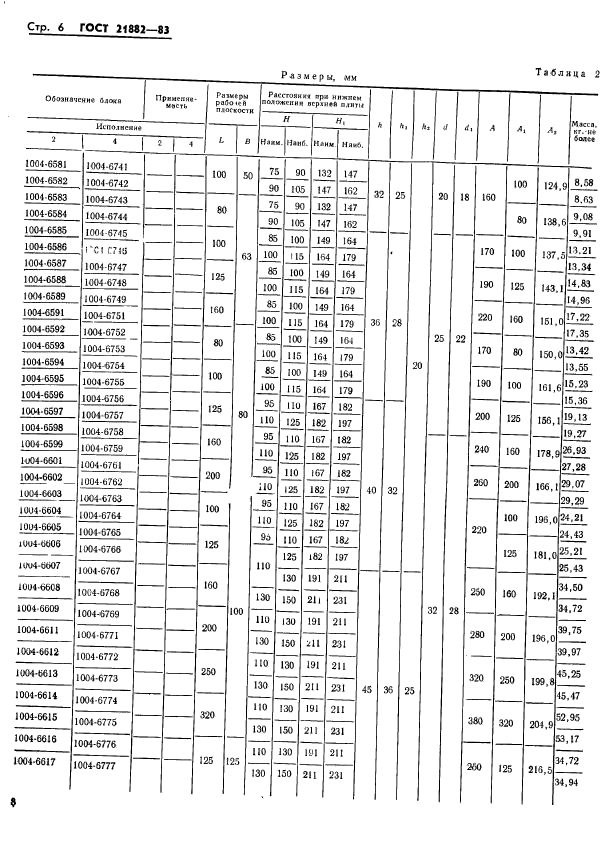
| Область применения: | Настоящий стандарт распространяется на блоки с промежуточной плитой и диагональным расположением направляющих узлов скольжения для штампов совмещенного действия и для штампов с верхним прижимом с плитами из чугунного и стального литья |
|