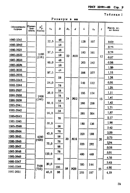
| Обозначение: |  ГОСТ 22191-83 |
| Статус: | действующий |
| Название рус.: | Буфера с резиновыми пружинами для штампов листовой штамповки. Конструкция и размеры |
| Название англ.: | Rubber spring buffers for sheet stamping dies. Design and dimensions |
| Дата актуализации текста: | 06.04.2015 |
| Дата актуализации описания: | 01.07.2023 |
| Дата издания: | 14.04.1983 |
| Дата введения: | 01.01.1984 |
| Код ОКП: | 396330 |
| Взамен: | ГОСТ 22191-76 |
| Нормативные ссылки: | ГОСТ 5916-70; ГОСТ 7338-77; ГОСТ 8918-69; ГОСТ 22194-83; ГОСТ 22195-83; ГОСТ 22196-83; ГОСТ 22197-83; ГОСТ 22202-83 |
| Область применения: | Настоящий стандарт устанавливает конструкцию и размеры буферов |
|