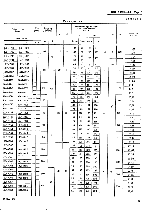
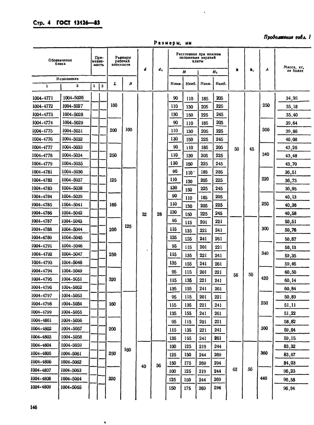
| Обозначение: |  ГОСТ 13126-83 |
| Статус: | действующий |
| Название рус.: | Штампы для листовой штамповки. Блоки штампов с осевым расположением направляющих узлов скольжения. Конструкция и размеры |
| Название англ.: | Centre post press tool sets for cold plastic working dies. Construction and dimensions |
| Дата актуализации текста: | 06.04.2015 |
| Дата актуализации описания: | 01.07.2023 |
| Дата издания: | 01.03.1986 |
| Дата введения: | 01.07.1984 |
| Код ОКП: | 396330 |
| Взамен: | ГОСТ 13126-75 |
| Содержит требования: | СТ СЭВ 3324-81 |
| Область применения: | Настоящий стандарт распространяется на блоки штампов с осевым расположением направляющих узлов скольжения с плитами из чугунного и стального литья |
|