| Обозначение: |  ГОСТ 25645.118-84 |
| Статус: | действующий |
| Название рус.: | Излучение космическое рентгеновское дискретных источников. Энергетические спектры и угловые координаты |
| Название англ.: | Cosmic X-rays of the discrete sources. Energy spectra and angular coordinates |
| Дата актуализации текста: | 06.04.2015 |
| Дата актуализации описания: | 01.01.2021 |
| Дата издания: | 01.06.1990 |
| Дата введения: | 01.01.1986 |
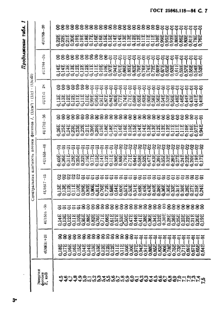
| Область применения: | Настоящий стандарт устанавливает параметры и зависимости, характеризующие угловое и энергетическое распределение потока фотонов космического ренгеновского излучения с энергиями от 2 до 800 кэВ от наиболее сильных, постоянно действующих дискретных источников, находящихся за пределами Солнечной системы. Стандарт предназначен для использования в расчетах среднего и экстремальных значений потока фотонов, падающего на открытые (незатененные) поверхности элементов технических устройств в космическом пространстве |
| Список изменений: | №1 от 01.01.1991 (рег. 14.03.1990) «Срок действия продлен» |
|