| Обозначение: |  ГОСТ 17008-85 |
| Статус: | действующий |
| Название рус.: | Компрессоры хладоновые герметичные. Общие технические условия |
| Название англ.: | Khladon hermetic compressors. General specifications |
| Дата актуализации текста: | 06.04.2015 |
| Дата актуализации описания: | 01.07.2023 |
| Дата издания: | 01.06.1989 |
| Дата введения: | 01.01.1987 |
| Код ОКП: | 515212 |
| Взамен: | ГОСТ 17008-79 |
| Содержит требования: | СТ СЭВ 2666-80;СТ СЭВ 665-77 |
| Нормативные ссылки: | IEC 60335-2-34(1980);IEC 60665(1980); ГОСТ 9.014-78; ГОСТ 9.032 74; ГОСТ 9.048-75; ГОСТ 9.305-84; ГОСТ 9.401-79; ГОСТ 12.1.026-80; ГОСТ 27.410-87; ГОСТ 215-73; ГОСТ 2405-80; ГОСТ 6521-72; ГОСТ 7822-75; ГОСТ 8476-78; ГОСТ 8711-78; ГОСТ 8865-87; ГОСТ 14087-88; ГОСТ 14192-77; ГОСТ 15150-69; ГОСТ 17446-86; ГОСТ 18321-73; ГОСТ 19212-87; ГОСТ 24634-81; ГОСТ 25865-83; ГОСТ 27570.0-87; ГОСТ 27570.8-88 |
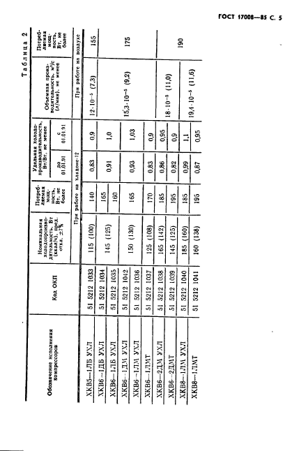
| Область применения: | Настоящий стандарт распространяется на хладоновые герметичные компрессоры с кривошипно-кулисным механизмом с вертикальной осью вращения (ХКВ), с описанным объемом до 400 см куб. х с в ст. минус 1 (1,44 м куб. х ч в ст. минус 1), встроенным двухполюсным однофазным асинхронным электродвигателем и пускозащитным реле, предназначенные для холодильных агрегатов с капиллярной трубкой, применяемых в бытовых холодильник; и морозильниках, работающих на хладоне-12 и рассчитанных на температуру кипения в испарителе от минус 10 до минус 30°С. Стандарт устанавливает требования к компрессорам, изготовляемым для нужд народного хозяйства и экспорта |
| Список изменений: | №1 от 01.01.1990 (рег. 28.03.1989) «Поправка» №2 от 01.09.1991 (рег. 29.06.1991) «Срок действия продлен» |
|