| Обозначение: |  ГОСТ 26538-85 |
| Статус: | заменён |
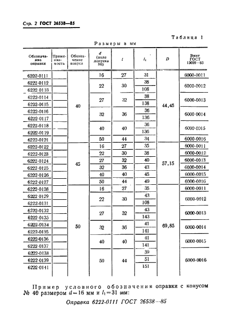
| Название рус.: | Оправки с конусом 7:24 для насадных торцовых фрез к станкам с ЧПУ. Основные размеры |
| Название англ.: | 7:24 tapered arbours for shell-type face milling cutters for machines with numerical control. Basic dimensions |
| Дата актуализации текста: | 06.04.2015 |
| Дата актуализации описания: | 01.07.2023 |
| Дата издания: | 17.07.1985 |
| Дата введения: | 01.01.1986 |
| Дата окончания срока действия: | 01.01.2016 |
| Код ОКП: | 392889 |
| Заменяющий: | ГОСТ 32832.3-2014 |
| Содержит требования: | СТ СЭВ 4641-84 |
| Нормативные ссылки: | ГОСТ 9472-83; ГОСТ 13039-83; ГОСТ 25827-83 |
| Область применения: | Настоящий стандарт распространяется на оправки с конусом 7:24 для насадных торцовых фрез, применяемые на расточных, сверлильных, фрезерных станках с числовым программным управлением |
|