| Обозначение: |  ГОСТ 26615-85 |
| Статус: | действующий |
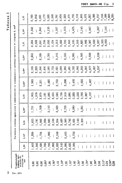
| Название рус.: | Провода обмоточные с эмалевой изоляцией. Общие технические условия |
| Название англ.: | Enamelled winding wires. Specifications |
| Дата актуализации текста: | 06.04.2015 |
| Дата актуализации описания: | 01.07.2023 |
| Дата издания: | 29.11.1985 |
| Дата введения: | 01.01.1988 |
| Код ОКП: | 359100 |
| Нормативные ссылки: | ГОСТ 20.57.406-81; ГОСТ 2112-79; ГОСТ 3722-81; ГОСТ 6132-79; ГОСТ 7855-74; ГОСТ 10155-75; ГОСТ 10519-76; ГОСТ 15150-69; ГОСТ 18690-82; ГОСТ 434-78; ГОСТ 2179-75; ГОСТ 5307-77; ГОСТ 6507-78; ГОСТ 8803-77; ГОСТ 10446-80 |
| Область применения: | Настоящий стандарт распространяется на обмоточные провода с эмалевой изоляцией, предназначенные для применения в электрических машинах, аппаратах и приборах |
| Список изменений: | №0 от 01.10.1997 (рег. 16.07.1997) «Восстановлен на территории РФ» №0 от 01.01.1994 (рег. 15.10.1992) «Поправка к изменению» |
|