| Обозначение: |  ГОСТ 26619-85 |
| Статус: | действующий |
| Название рус.: | Пресс-формы одноместные для изготовления манжет гидравлических устройств. Конструкция и размеры |
| Название англ.: | Singll-impression press moulds for manufacturing of rubber u-packing seals. Design and dimensions |
| Дата актуализации текста: | 06.04.2015 |
| Дата актуализации описания: | 01.07.2023 |
| Дата издания: | 07.03.1986 |
| Дата введения: | 07.07.1986 |
| Код ОКП: | 396381 |
| Нормативные ссылки: | ГОСТ 14896-84; ГОСТ 14901-79 |
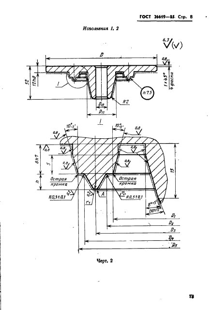
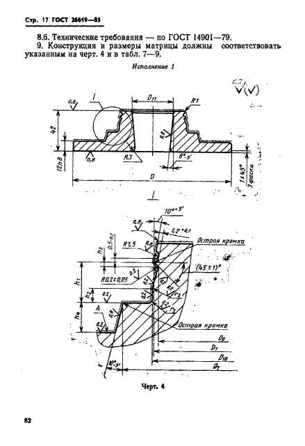
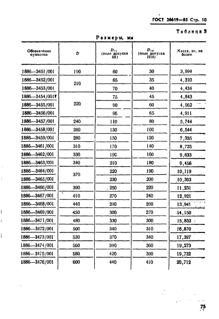
| Область применения: | Настоящий стандарт распространяется на съемные одноместные пресс-формы для изготовления резиновых уплотнительных манжет по ГОСТ 14896-84 типов 1 и 3 размерами от 110х90 до 500х475 мм. Пресс-формы должны изготавливаться трех исполнений: 1 - для манжет размерами от 110х90 до 200х180 мм; 2 - для манжет размерами св. 200х180 до 320х300 мм; 3 - для манжет размерами св. 320х300 до 500х475 мм |
|