| Обозначение: |  ГОСТ 25073-81 |
| Статус: | действующий |
| Название рус.: | Изоляторы керамические опорные на напряжение свыше 1000 В для работы на открытом воздухе. Типы, основные параметры и размеры |
| Название англ.: | Ceramik base outdoor insulators for voltage over 1000 B. Types, main parameters and dimensions |
| Дата актуализации текста: | 06.04.2015 |
| Дата актуализации описания: | 01.07.2023 |
| Дата издания: | 01.06.2005 |
| Дата введения: | 01.01.1983 |
| Код ОКП: | 349343 |
| Содержит требования: | СТ СЭВ 2315-80 |
| Нормативные ссылки: | IEC 60273(1979); ГОСТ 9920-89; ГОСТ 9984-85; ГОСТ 15150-69; ГОСТ 20419-83; ГОСТ Р 52034-2003 |
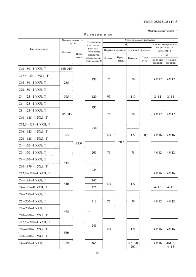
| Область применения: | Настоящий стандарт распространяется на опорные стержневые армированные фарфоровые изоляторы климатических исполнений УХЛ, Т, категории размещения 1 по ГОСТ 15150, предназначенные для изоляции и крепления токоведущих частей в электрических аппаратах и открытых распределительных устройствах переменного тока напряжением св. 1000 В частоты до 100 Гц |
| Список изменений: | №1 от 31.08.1985 (рег. 15.03.1985) «Срок действия продлен» №2 от 01.01.1988 (рег. 15.06.1987) «Поправка» №3 от 01.04.1989 (рег. 29.11.1988) «Срок действия продлен» №4 от 01.01.1990 (рег. 20.06.1989) «Срок действия продлен» №5 от 01.01.1991 (рег. 21.06.1990) «Срок действия продлен» |
|