| Обозначение: |  ГОСТ 31.1066.01-85 |
| Статус: | действующий |
| Название рус.: | Приспособления к металлорежущим станкам. Оправки центровые переналаживаемые с гофрированными втулками для точных работ. Основные параметры и размеры |
| Название англ.: | Attachments for metall-cutting machine tools. Central readjustable mandrels with corrugated bushings for precision machining. Basic parameters and dimensions |
| Дата актуализации текста: | 06.04.2015 |
| Дата актуализации описания: | 01.07.2023 |
| Дата издания: | 01.11.2005 |
| Дата введения: | 01.01.1986 |
| Нормативные ссылки: | ГОСТ 9.306-85; ГОСТ 4543-71; ГОСТ 8918-69; ГОСТ 10549-80; ГОСТ 14034-74; ГОСТ 14959-79; ГОСТ 16093-2004; ГОСТ 24643-81; ГОСТ 24705-2004 |
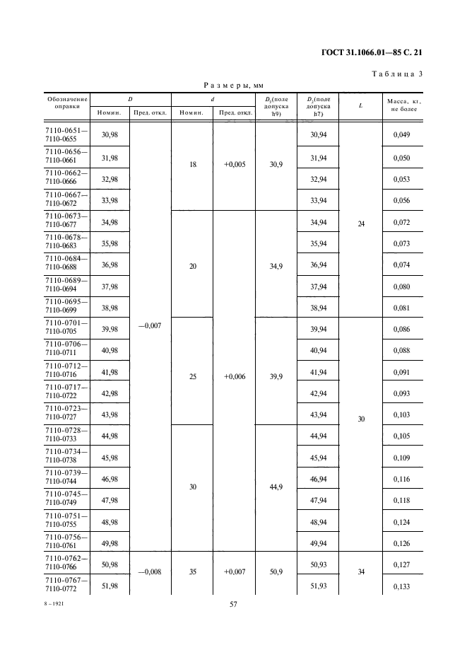
| Область применения: | Настоящий стандарт распространяется на центровые переналаживаемые оправки с гофрированными втулками, предназначенные для установки заготовок, в основном тонкостенных, типа колец, втулок, гильз с цилиндрическим базовым отверстием при точной обработке их на металлорежущих станках |
| Список изменений: | №1 от 01.01.1988 (рег. 05.08.1987) «Поправка» №2 от 01.01.1991 (рег. 04.06.1990) «Срок действия продлен» |
|