| Обозначение: |  ГОСТ 16541-76 |
| Статус: | действующий |
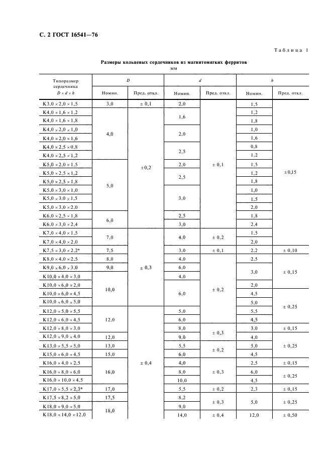
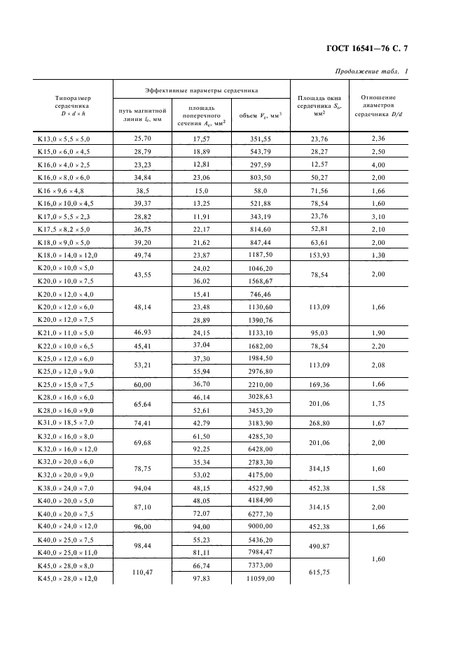
| Название рус.: | Сердечники кольцевые из магнитомягких ферритов. Основные размеры |
| Название англ.: | Ring cores of soft ferrites. Main sizes |
| Дата актуализации текста: | 06.04.2015 |
| Дата актуализации описания: | 01.07.2023 |
| Дата издания: | 01.08.2006 |
| Дата введения: | 01.07.1977 |
| Код ОКП: | 632100 |
| Взамен: | ГОСТ 16541-71 |
| Область применения: | Настоящий стандарт распространяется на кольцевые сердечники прямоугольного поперечного сечения из магнитомягких ферритов, применяемые в электронной аппаратуре, и устанавливает конструкцию и основные размеры сердечников |
| Список изменений: | №1 от 30.06.1979 (рег. 20.03.1979) «Срок действия продлен» №2 от 31.08.1980 (рег. 21.04.1980) «Срок действия продлен» №3 от 01.07.1982 (рег. 03.03.1982) «Срок действия продлен» №4 от 01.11.1989 (рег. 17.05.1989) «Срок действия продлен» |
|