| Обозначение: |  ГОСТ 23343-78 |
| Статус: | действующий |
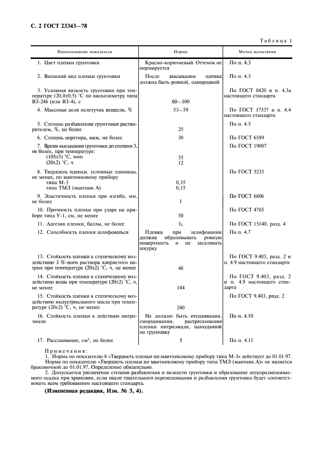
| Название рус.: | Грунтовка ГФ-0119. Технические условия |
| Название англ.: | Primer ГФ-0119. Specifications |
| Дата актуализации текста: | 06.04.2015 |
| Дата актуализации описания: | 01.07.2023 |
| Дата издания: | 01.12.2005 |
| Дата введения: | 01.01.1980 |
| Код ОКП: | 231213 |
| Нормативные ссылки: | ГОСТ 9.403-80; ГОСТ 12.1.004-91; ГОСТ 12.1.005-88; ГОСТ 12.1.018-93; ГОСТ 12.1.044-89; ГОСТ 12.3.005-75; ГОСТ 12.4.009-83; ГОСТ 12.4.011-89; ГОСТ 12.4.021-75; ГОСТ 12.4.068-79; ГОСТ 12.4.103-83; ГОСТ 17.2.3.02-78; ГОСТ 1770-74; ГОСТ 1928-79; ГОСТ 3134-78; ГОСТ 4765-73; ГОСТ 5233-89; ГОСТ 6456-82; ГОСТ 6589-74; ГОСТ 6613-86; ГОСТ 6806-73; ГОСТ 8420-74; ГОСТ 8832-76; ГОСТ 9410-78; ГОСТ 9949-76; ГОСТ 9980.1-86; ГОСТ 9980.2-86; ГОСТ 9980.3-86; ГОСТ 9980.4-2002; ГОСТ 9980.5-86; ГОСТ 10054-82; ГОСТ 10214-78; ГОСТ 14192-96; ГОСТ 15140-78; ГОСТ 16523-97; ГОСТ 17537-72; ГОСТ 18187-72; ГОСТ 19007-73; ГОСТ 19433-88;БДС 6286-78 |
| Область применения: | Настоящий стандарт распространяется на грунтовку ГФ-0119, представляющую собой суспензию пигментов и наполнителей в алкидном лаке, с добавлением растворителей, сиккатива и стабилизирующих веществ |
| Список изменений: | №1 от 01.04.1981 (рег. 20.11.1980) «Срок действия продлен» №2 от 01.01.1985 (рег. 19.07.1984) «Срок действия продлен» №3 от 01.10.1989 (рег. 28.03.1989) «Срок действия продлен» №4 от 01.01.1997 (рег. 10.12.1996) «Срок действия продлен» |
|