| Обозначение: |  ГОСТ 16841-79 |
| Статус: | действующий |
| Название рус.: | Отверстия вентиляционные приборных корпусов радиоэлектронных и электротехнических изделий. Типы, конструкция и размеры |
| Название англ.: | Fan holes of devices frames of radioelectronic and electrotechnical products. Types, structure and dimensions |
| Дата актуализации текста: | 06.04.2015 |
| Дата актуализации описания: | 01.01.2021 |
| Дата издания: | 01.06.2006 |
| Дата введения: | 01.01.1981 |
| Код ОКП: | 658900;422000 |
| Взамен: | ГОСТ 16841-71 |
| Нормативные ссылки: | ГОСТ 25347-82 |
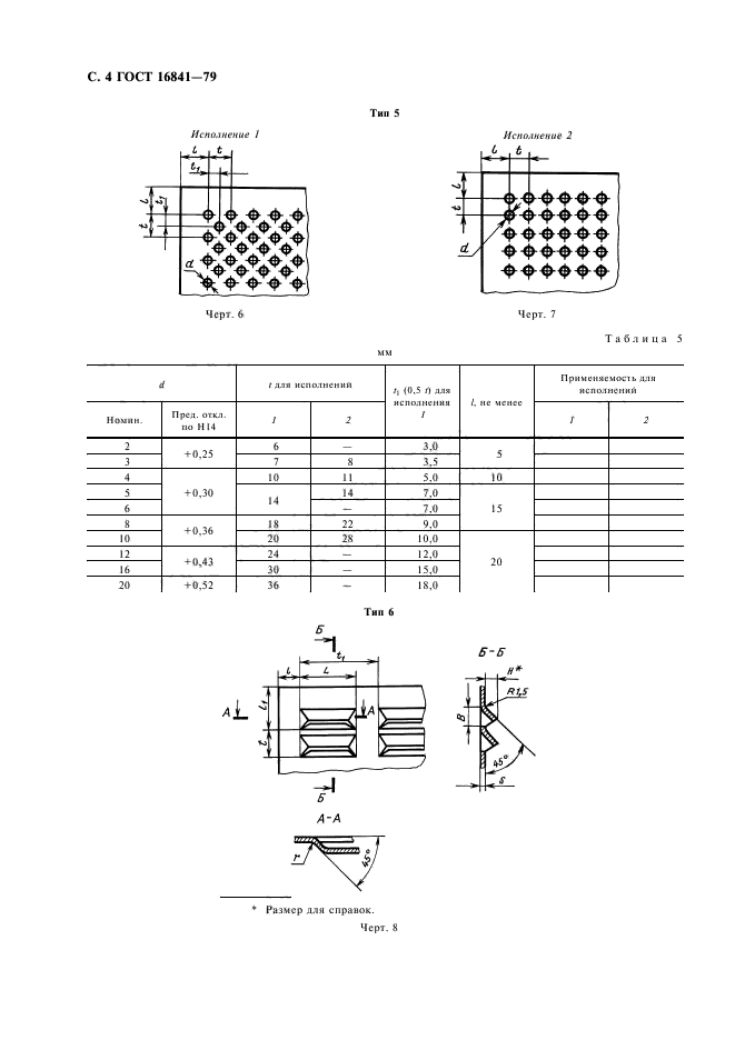
| Область применения: | Настоящий стандарт распространяется на вентиляционные отверстия приборных корпусов радиоэлектронных и электротехнических изделий и устанавливает их типы, конструкцию, размеры и взаимное расположение |
| Список изменений: | №1 от 01.05.1983 (рег. 17.11.1982) «Срок действия продлен» №2 от 01.01.1986 (рег. 26.06.1985) «Срок действия продлен» №3 от 01.09.1989 (рег. 09.03.1989) «Срок действия продлен» |
|