| Обозначение: |  ГОСТ 30188-97 |
| Статус: | действующий |
| Название рус.: | Цепи грузоподъемные калиброванные высокопрочные. Технические условия |
| Название англ.: | Calibrated lifting chains of high strength. Specifications |
| Дата актуализации текста: | 06.04.2015 |
| Дата актуализации описания: | 01.07.2023 |
| Дата регистрации: | 23.04.1997 |
| Дата издания: | 01.05.2006 |
| Дата введения: | 01.01.2002 |
| Код ОКП: | 417330 |
| Нормативные ссылки: | ISO 1834:1980;ISO 3077:1984;ISO 7592:1983; ГОСТ 9.014-78; ГОСТ 5639-82; ГОСТ 14192-96; ГОСТ 15150-69; ГОСТ 15841-88; ГОСТ 15846-2002; ГОСТ 25835-83; ГОСТ 28840-90;DIN 5684-Т №-84 |
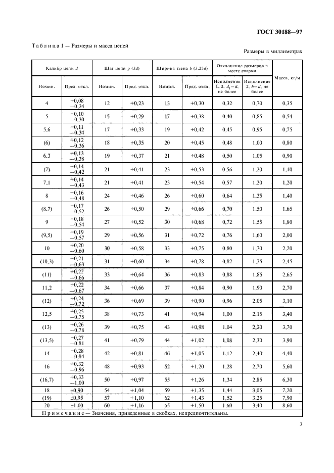
| Область применения: | Настоящий стандарт распространяется на сварные калиброванные высокопрочные цепи, предназначенные для работы на звездочках в цепных талях и других грузоподъемных устройствах. Цепи, изготовленные в соответствии с настоящим стандартом, не могут быть использованы в качестве стропов. Настоящий стандарт устанавливает технические требования к цепям класса прочности Т(8) с напряжением при разрушающей нагрузке не менее 800 МПа |
|