| Обозначение: |  ГОСТ 12.4.029-76 |
| Статус: | действующий |
| Название рус.: | Фартуки специальные. Технические условия |
| Название англ.: | Special aprons. Specifications |
| Дата актуализации текста: | 06.04.2015 |
| Дата актуализации описания: | 01.07.2023 |
| Дата издания: | 01.08.2006 |
| Дата введения: | 01.01.1978 |
| Код ОКП: | 857700 |
| Взамен: | ГОСТ 12845-67 |
| Нормативные ссылки: | ГОСТ 12.4.031-84; ГОСТ 12.4.103-83; ГОСТ 12.4.169-85; ГОСТ 4103-82; ГОСТ 6102-94; ГОСТ 6309-93; ГОСТ 10581-91; ГОСТ 11209-85; ГОСТ 12807-2003; ГОСТ 14192-96; ГОСТ 15530-93; ГОСТ 16166-80; ГОСТ 19159-85; ГОСТ 23948-80; ГОСТ 24702-81; ГОСТ 27542-87; ГОСТ 29122-91; ГОСТ 29298-92;ОСТ 17-257-84;ОСТ 17-284-87;ОСТ 17-345-85;ОСТ 17-582-76;ОСТ 17-921-82;ТУ 17-21-114-76;ТУ 17-21-149-76;ТУ 17-21-193-77;ТУ 17-21-201-77;ТУ 17-21-504-84;ТУ 17-21-617-88;ТУ 17 РСФСР 42-11141-86;ТУ 17 РСФСР 60-10724-84;ТУ 17 РСФСР 62-8355-78;ТУ 17 РСФСР 62-10645-83;ТУ 17 РСФСР 62-11045-85;ТУ 17 РСФСР 66-10449-82;ТУ 17 РСФСР 66-11049-85;ТУ 17 РСФСР 1371-84;ТУ 17 РСФСР 6808-74;ТУ 17 Каз. ССР 01-385-80;ТУ 17 Груз. ССР 122-83;ТУ 38-103465-80;ТУ 38-105-716-84;ТУ 38-105-854-75;ТУ 38-105-1057-76;ТУ 00 5296-77/5675 |
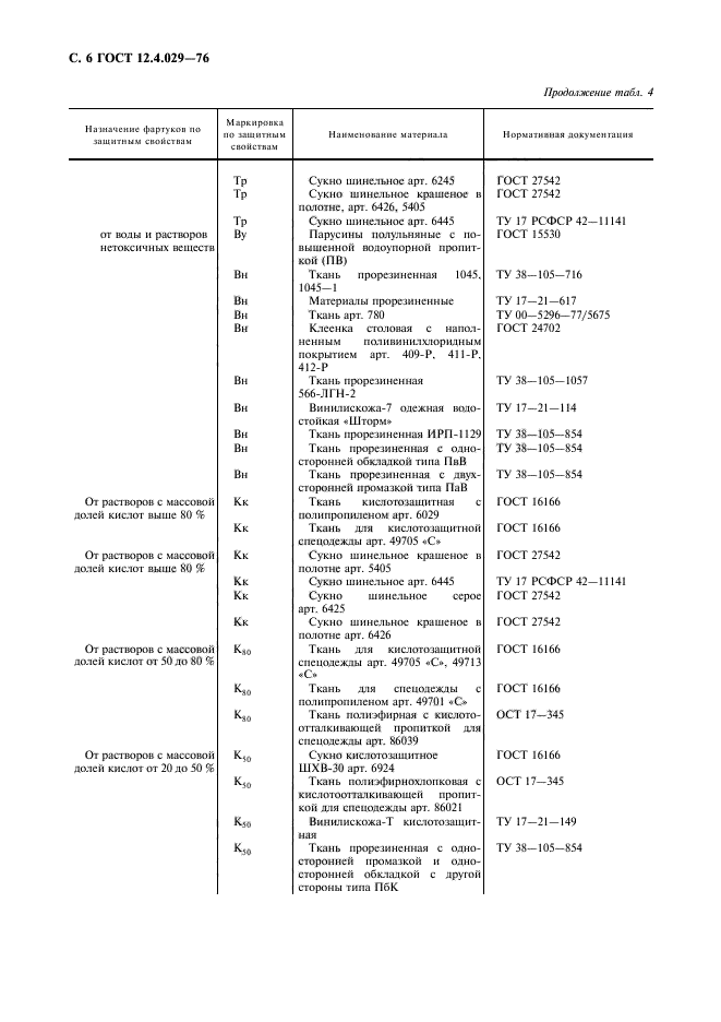
| Область применения: | Настоящий стандарт распространяется на фартуки, предназначенные в качестве спецодежды для защиты работающих от вредных производственных факторов |
| Список изменений: | №1 от 01.07.1982 (рег. 15.02.1982) «Срок действия продлен» №2 от 01.01.1984 (рег. 25.07.1983) «Срок действия продлен» №3 от 01.01.1989 (рег. 22.06.1988) «Поправка» |
|