| Обозначение: |  ГОСТ 28302-89 |
| Статус: | действующий |
| Название рус.: | Покрытия газотермические защитные из цинка и алюминия металлических конструкций. Общие требования к типовому технологическому процессу |
| Название англ.: | Thermal sprayed protective coatings from zinc and aluminium metallic costruction. General requirements for a typical technological process |
| Дата актуализации текста: | 06.04.2015 |
| Дата актуализации описания: | 01.07.2023 |
| Дата издания: | 01.07.2006 |
| Дата введения: | 01.01.1991 |
| Нормативные ссылки: | ГОСТ 9.014-78; ГОСТ 9.304-87; ГОСТ 9.402-2004; ГОСТ 12.1.003-83; ГОСТ 12.1.005-88; ГОСТ 12.2.007.0-75; ГОСТ 12.2.008-75; ГОСТ 12.3.002-75; ГОСТ 12.3.003-86; ГОСТ 12.3.005-75; ГОСТ 12.3.008-75; ГОСТ 12.4.013-85; ГОСТ 12.4.011-89; ГОСТ 12.4.021-75; ГОСТ 2789-73; ГОСТ 3647-80; ГОСТ 7871-75; ГОСТ 8273-75; ГОСТ 11069-2001; ГОСТ 11964-81; ГОСТ 12026-76; ГОСТ 13073-77; ГОСТ 14838-78; ГОСТ 15150-69; ГОСТ 17433-80; ГОСТ 24484-80; ГОСТ 29298-92;СНиП III-4-80 |
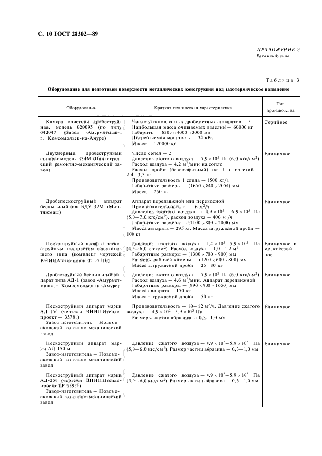
| Область применения: | Настоящий стандарт распространяется на газотермические защитные покрытия из цинка и алюминия металлических конструкций из углеродистой и низколегированной стали для долговременной эксплуатации в атмофере, воде, почве, бетоне, в газовых средах, в том числе, с повышенной температурой |
|