| Обозначение: |  ГОСТ 21506-87 |
| Статус: | заменён |
| Название рус.: | Плиты перекрытий железобетонные ребристые высотой 300 мм для зданий и сооружений. Технические условия |
| Название англ.: | Reinforced concrete ribbed floor slabs of 300 mm depth for buildings and structures. Specifications |
| Дата актуализации текста: | 06.04.2015 |
| Дата актуализации описания: | 01.07.2023 |
| Дата издания: | 02.10.1987 |
| Дата введения: | 01.01.1988 |
| Дата окончания срока действия: | 01.01.2015 |
| Код ОКП: | 584200 |
| Заменяющий: | ГОСТ 21506-2013 |
| Взамен в части: | ГОСТ 21506-76 в части плит высотой 300 мм |
| Нормативные ссылки: | ГОСТ 5781-82; ГОСТ 6727-80; ГОСТ 8829-85; ГОСТ 10060-86; ГОСТ 10180-78; ГОСТ 10181.0-81; ГОСТ 10181.3-81; ГОСТ 10884-81; ГОСТ 10922-75; ГОСТ 12730.0-78; ГОСТ 12730.1-78; ГОСТ 12730.5-84; ГОСТ 13015-75; ГОСТ 13015.0-83; ГОСТ 13015.1-81; ГОСТ 13015.2-82; ГОСТ 13015.3-81; ГОСТ 13015.4-84; ГОСТ 17624-78; ГОСТ 17625-83; ГОСТ 18105-86; ГОСТ 22362-77; ГОСТ 22690.0-77; ГОСТ 22690.1-77; ГОСТ 22690.2-77; ГОСТ 22690.3-77; ГОСТ 22690.4-77; ГОСТ 22904-78; ГОСТ 23009-78; ГОСТ 23858-79; ГОСТ 25820-83; ГОСТ 26633-85;СНиП 2.01.01-82;СНиП 2.03.01-84;СНиП 2.03.04-84;СНиП 2.03.11-85 |
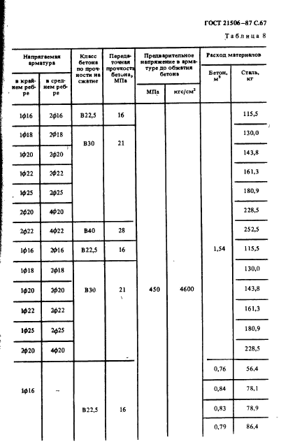
| Область применения: | Настоящий стандарт распространяется на железобетонные предварительно напряженные ребристые плиты высотой 300 мм, изготовляемые из тяжелого или легкого бетона и предназначенные для перекрытий многоэтажных общественных зданий, производственных и вспомогательных зданий промышленных преприятий и сооружений различного назначения с шагом несущих конструкций 6 м |
|