| Обозначение: |  ГОСТ 28755-90 |
| Статус: | действующий |
| Название рус.: | Мех искусственный тканепрошивной. Общие технические условия |
| Название англ.: | Imitation fur with stitch-bonded fabrik. General specifications |
| Дата актуализации текста: | 06.04.2015 |
| Дата актуализации описания: | 01.07.2023 |
| Дата издания: | 01.03.2005 |
| Дата введения: | 01.01.1992 |
| Код ОКП: | 839171;839571 |
| Взамен: | ОСТ 17-793-86 |
| Нормативные ссылки: | ГОСТ 15.007-88; ГОСТ 3811-72; ГОСТ 7000-72; ГОСТ 9733.27-83; ГОСТ 10550-75; ГОСТ 10681-75; ГОСТ 13232-79; ГОСТ 13827-85; ГОСТ 14192-77; ГОСТ 15080-77; ГОСТ 15902.3-79; ГОСТ 16919-79; ГОСТ 16958-71; ГОСТ 21516-76; ГОСТ 26666.3-85;ОСТ 17-487-75 |
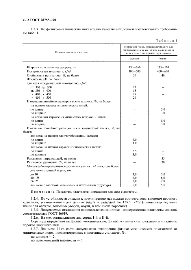
| Область применения: | Настоящий стандарт распространяется на искусственный тканепрошивной мех, предназначенный для применения в качестве подкладочного и отделочного материала при пошиве одежды и обуви |
|