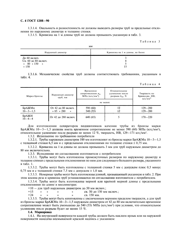
| Обозначение: |  ГОСТ 1208-90 |
| Статус: | действующий |
| Название рус.: | Трубы бронзовые прессованные. Технические условия |
| Название англ.: | Pressed bronze tubes. Specifications |
| Дата актуализации текста: | 06.04.2015 |
| Дата актуализации описания: | 01.07.2023 |
| Дата издания: | 01.10.2003 |
| Дата введения: | 01.01.1991 |
| Код ОКП: | 184650 |
| Взамен: | ГОСТ 1208-73 |
| Заменяющий: | ГОСТ 1208-2014 |
| Отменен в части: | Восстановлен на территории РФ с 01.03.2016 только в отношении продукции, поставляемой по Государственному оборонному заказу |
| Нормативные ссылки: | ГОСТ 166-80; ГОСТ 427-75; ГОСТ 3282-74; ГОСТ 3560-73; ГОСТ 7502-80; ГОСТ 9012-59; ГОСТ 9557-73; ГОСТ 10006-80; ГОСТ 14192-77; ГОСТ 15027.1-77; ГОСТ 15027.2-77; ГОСТ 15027.3-77; ГОСТ 15027.4-77; ГОСТ 15027.5-77; ГОСТ 15027.6-77; ГОСТ 15027.7-77; ГОСТ 15027.8-77; ГОСТ 15027.9-77; ГОСТ 15027.10-77; ГОСТ 15027.11-77; ГОСТ 15027.12-77; ГОСТ 15027.13-77; ГОСТ 15027.14-77; ГОСТ 15846-79; ГОСТ 18175-78; ГОСТ 20068.1-79; ГОСТ 20068.2-79; ГОСТ 20068.3-79; ГОСТ 20068.5-82; ГОСТ 21650-76; ГОСТ 23238-78; ГОСТ 24047-80; ГОСТ 24231-80; ГОСТ 24597-81; ГОСТ 26663-85; ГОСТ 26877-86 |
| Область применения: | Настоящий стандарт распространяется на прессованные трубы из бронзы марок БрАЖМц 10-3-1,5 и БрАЖН 10-4-4, применяемые для изготовления различных деталей |
| Список изменений: | №0 от 01.03.2016 (рег. 01.03.2016) «Восстановлен на территории РФ» |
|