| Обозначение: |  ГОСТ 16167-90 |
| Статус: | не действует в РФ |
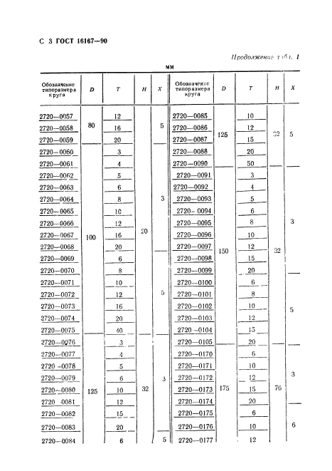
| Название рус.: | Круги алмазные шлифовальные плоские прямого профиля формы 1А1. Основные размеры |
| Название англ.: | Diamond grinding wheels peripheral wheel shape 1A1. Basic dimensions |
| Дата актуализации текста: | 06.04.2015 |
| Дата актуализации описания: | 01.01.2021 |
| Дата издания: | 01.03.2001 |
| Дата введения: | 01.01.1992 |
| Дата окончания срока действия: | 01.01.2012 |
| Код ОКП: | 397111;397121;397211;397221 |
| Взамен: | ГОСТ 16167-80 |
| Содержит требования: | ISO 6168:1980;СТ СЭВ 203-75 |
| На территории РФ пользоваться: | ГОСТ Р 53923-2010 |
| Нормативные ссылки: | ГОСТ 16181-82 |
| Область применения: | Настоящий стандарт распространяется на алмазные шлифовальные плоские круги прямого профиля формы 1А1 с относительной концентрацией алмазов 50, 75, 100 и 150, изготовляемые для нужд народного хозяйства и экспорта |
| Список изменений: | №0 от 01.01.2012 (рег. 12.11.2010) «Поправка к изменению» |
|