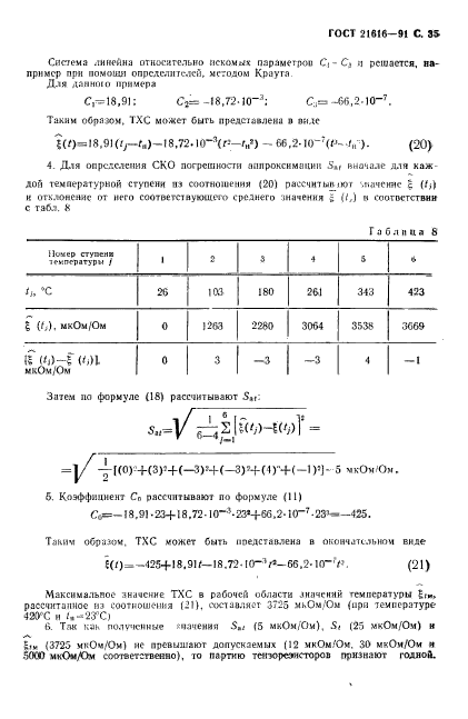
| Обозначение: |  ГОСТ 21616-91 |
| Статус: | действующий |
| Название рус.: | Тензорезисторы. Общие технические условия |
| Название англ.: | Strain gauges. General specifications |
| Дата актуализации текста: | 06.04.2015 |
| Дата актуализации описания: | 01.07.2023 |
| Дата издания: | 09.08.1991 |
| Дата введения: | 01.01.1992 |
| Код ОКП: | 427379 |
| Взамен: | ГОСТ 21616-76 |
| Нормативные ссылки: | ГОСТ 8.051-81; ГОСТ 8.543-86; ГОСТ 12997-84; ГОСТ 15150-69; ГОСТ 18242-72; ГОСТ 18321-73; ГОСТ 20420-75;OIML R 62 |
| Область применения: | Настоящий стандарт распространяется на тензорезисторы, предназначенные для измерения деформаций машин и конструкций или используемые в качестве чувствительных элементов измерительных преобразователей |
|