| Обозначение: |  ГОСТ 22310-93 |
| Статус: | действующий |
| Название рус.: | Ферросплавы. Метод определения гранулометрического состава |
| Название англ.: | Ferroalloys. Method for determination of granulometric composition |
| Дата актуализации текста: | 06.04.2015 |
| Дата актуализации описания: | 01.07.2023 |
| Дата регистрации: | 15.04.1994 |
| Дата издания: | 14.08.1996 |
| Дата введения: | 01.01.1997 |
| Взамен: | ГОСТ 22310-84 |
| Содержит требования: | ISO 4551:1987 |
| Нормативные ссылки: | ГОСТ 3306-88; ГОСТ 3826-82; ГОСТ 6613-86; ГОСТ 17260-87 |
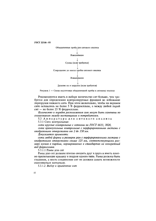
| Область применения: | Настоящий стандарт устанавливает методы отбора, подготовки проб и ситового анализа для определения гранулометрического состава партии всех видов ферросплавов, с размером частиц, равным или более 40 мкм |
|