| Обозначение: |  ГОСТ 30631-99 |
| Статус: | действующий |
| Название рус.: | Общие требования к машинам, приборам и другим техническим изделиям в части стойкости к механическим внешним воздействующим факторам при эксплуатации |
| Название англ.: | General requirements for machines, instruments and other industrial products as to environment mechanical stability |
| Дата актуализации текста: | 06.04.2015 |
| Дата актуализации описания: | 01.07.2023 |
| Дата регистрации: | 28.05.1999 |
| Дата издания: | 15.11.1999 |
| Дата введения: | 01.09.2000 |
| Нормативные ссылки: | IEC 60721-3-3(1994);IEC 60721-3-4(1995);IEC 60721-3-5(1985);IEC 60721-3-6(1987);IEC 60721-3-7(1995); ГОСТ 15150-69; ГОСТ 24346-80; ГОСТ 26883-86; ГОСТ 30546.1-98; ГОСТ 30630.1.1-99 |
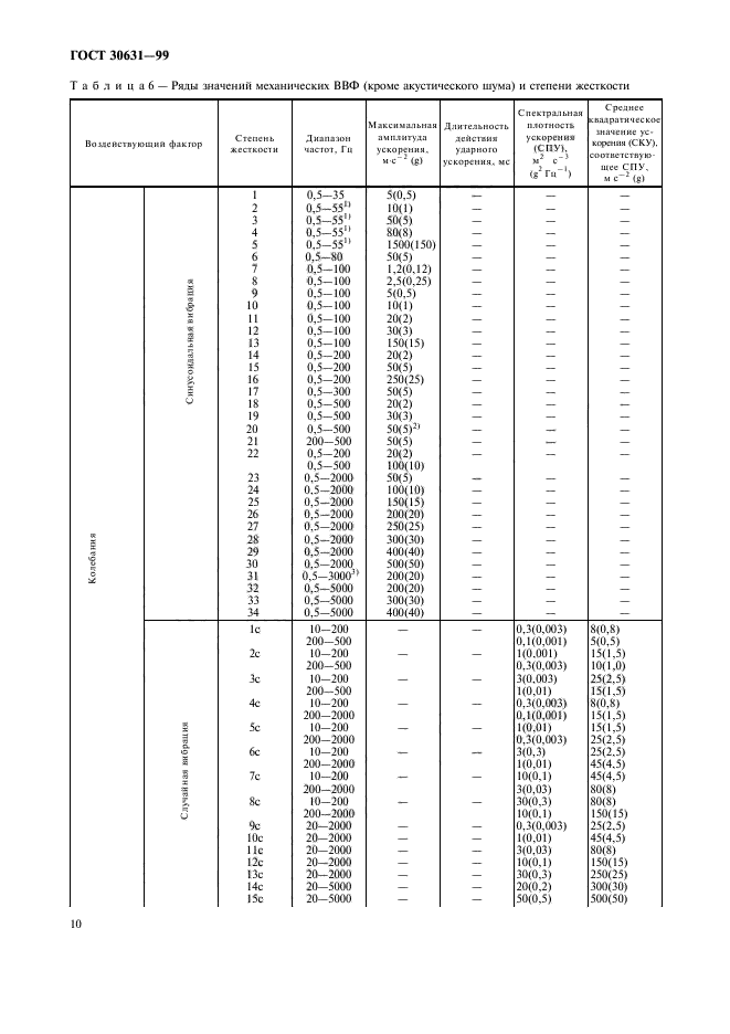
| Область применения: | Настоящий стандарт распространяется на все виды машин, приборов и других технических изделий и устанавливает общие технические требования по стойкости изделий к воздействию механических внешних воздействующих факторов, в обобщенном виде отражающие условия эксплуатации |
|