| Обозначение: |  ГОСТ 30196-94 |
| Статус: | действующий |
| Название рус.: | Головки колонные. Типы, основные параметры и присоединительные размеры |
| Название англ.: | Gasing heads. Standard schemes, basic parameters and connection sizes |
| Дата актуализации текста: | 06.04.2015 |
| Дата актуализации описания: | 01.07.2023 |
| Дата регистрации: | 04.10.1996 |
| Дата издания: | 07.07.1999 |
| Дата введения: | 01.01.2000 |
| Код ОКП: | 366520 |
| Взамен: | СТ СЭВ 4353-83 |
| Нормативные ссылки: | ГОСТ 12.2.132-93; ГОСТ 632-80; ГОСТ 633-80; ГОСТ 28919-91; ГОСТ 28996-91;API Spec 6A |
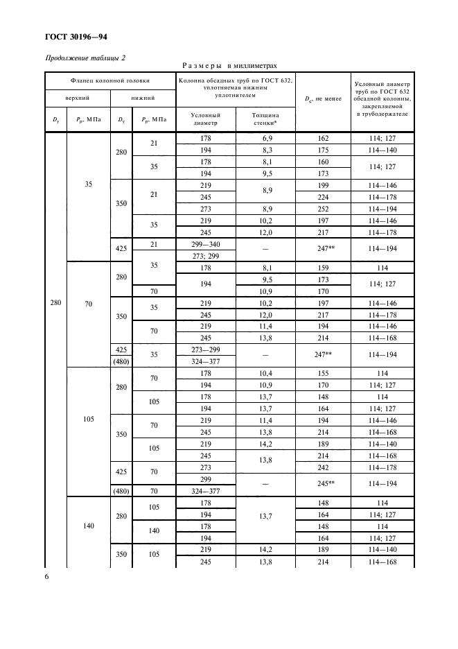
| Область применения: | Настоящий стандарт распространяется на колонные головки - составные части устьевых колонных обвязок нефтяных и газовых скважин Требования настоящего стандарта гармонизированы со стандартом Американского Нефтяного Института (США) API Spec 6A. Объем гармонизации требований стандарта приведен в приложении А. Стандарт пригоден для целей сертификации |
|