| Обозначение: |  ГОСТ 13424-68 |
| Статус: | действующий |
| Название рус.: | Теодолиты. Методы определения погрешностей диаметров горизонтального круга |
| Название англ.: | Teodolites. Methods for determination of errors of horizontal circle diameter |
| Дата актуализации текста: | 06.04.2015 |
| Дата актуализации описания: | 01.07.2023 |
| Дата издания: | 01.01.1977 |
| Дата введения: | 01.07.1968 |
| Код ОКП: | 431700 |
| Нормативные ссылки: | ГОСТ 10529-62 |
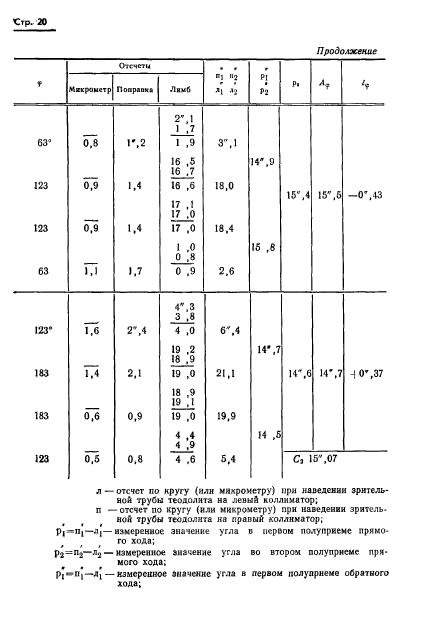
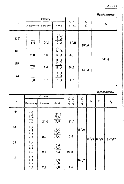
| Область применения: | Настоящий стандарт устанавливает методы определения полных погрешностей диаметров горизонтальных кругов (лимбов) теодолитов |
|