| Обозначение: |  ГОСТ 17026-71 |
| Статус: | не действует в РФ |
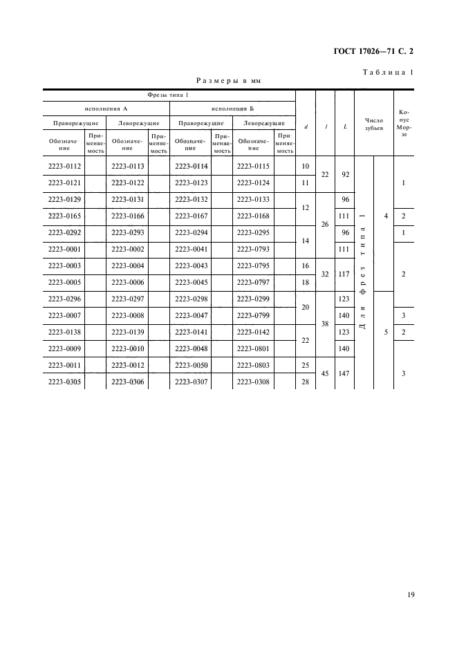
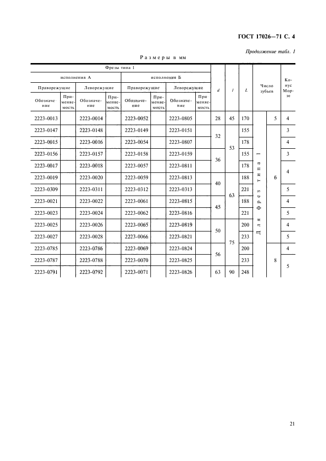
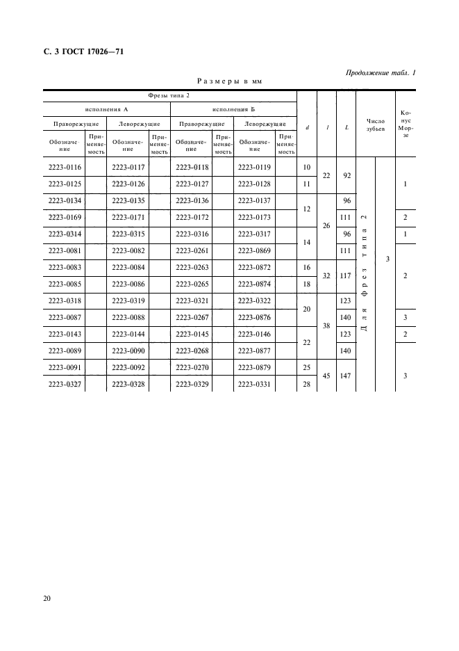
| Название рус.: | Фрезы концевые с коническим хвостовиком. Конструкция и размеры |
| Название англ.: | End mills with tapered shank. Design and dimensions |
| Дата актуализации текста: | 06.04.2015 |
| Дата актуализации описания: | 01.07.2023 |
| Дата издания: | 01.03.1998 |
| Дата введения: | 01.01.1973 |
| Дата окончания срока действия: | 01.01.2010 |
| Код ОКП: | 391822 |
| Взамен: | МН 411-65;МН 412-65 |
| Взамен в части: | ГОСТ 8237-57 в части фрез с коническим хвостовиком |
| Содержит требования: | СТ СЭВ 109-79 |
| На территории РФ пользоваться: | ГОСТ 32831-2014 |
| Нормативные ссылки: | ISO 1641-2:1978; ГОСТ 14034-74; ГОСТ 17024-82; ГОСТ 25557-82 |
| Область применения: | Настоящий стандарт распространяется на концевые фрезы с коническим хвостовиком, предназначенные для обработки поверхностей и уступов |
| Список изменений: | №0 от 01.01.2010 (рег. 11.11.2008) «Поправка к изменению» №1 от 01.02.1973 (рег. 09.01.1973) «Срок действия продлен» №2 от 15.01.1977 (рег. 10.01.1977) «Срок действия продлен» №3 от 01.01.1983 (рег. 24.03.1982) «Срок действия продлен» №4 от 01.09.1985 (рег. 22.04.1985) «Срок действия продлен» №5 от 01.01.1996 (рег. 12.09.1995) «Срок действия продлен» |
|