| Обозначение: |  ГОСТ 7588-71 |
| Статус: | не действует в РФ |
| Название рус.: | Морковь столовая сушеная. Технические условия |
| Название англ.: | Dried carrot. Specifications |
| Дата актуализации текста: | 06.04.2015 |
| Дата актуализации описания: | 01.07.2023 |
| Дата издания: | 01.07.2001 |
| Дата введения: | 01.09.1971 |
| Дата окончания срока действия: | 01.01.2008 |
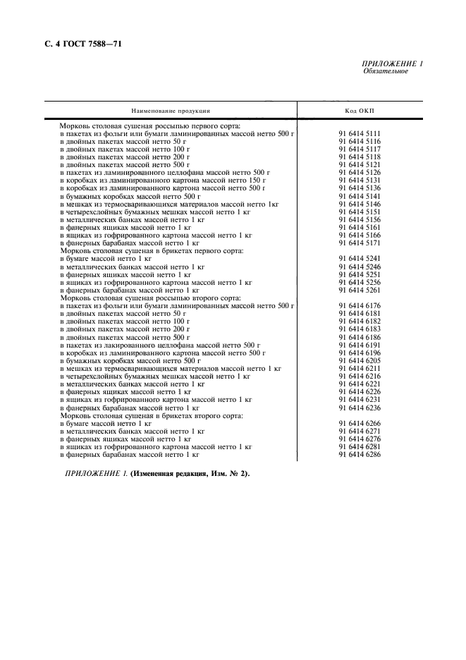
| Код ОКП: | 916414 |
| Взамен: | ГОСТ 7588-55 |
| Заменяющий в части: | ГОСТ 13342-77 в части разд. 3 |
| На территории РФ пользоваться: | ГОСТ 32065-2013 |
| Нормативные ссылки: | ГОСТ 1721-67; ГОСТ 13340.1-77; ГОСТ 13340.2-77; ГОСТ 13340.3-77; ГОСТ 13341-77; ГОСТ 13342-77 |
| Область применения: | Настоящий стандарт распространяется на столовую морковь, подвергнутую предварительной подготовке и сушке в сушильных аппаратах |
| Список изменений: | №0 от 01.01.2008 (рег. 27.12.2006) «Поправка к изменению» №1 от 01.02.1983 (рег. 11.10.1982) «Срок действия продлен» №2 от 01.12.1987 (рег. 07.06.1987) «Срок действия продлен» №3 от 01.07.1991 (рег. 23.11.1990) «Срок действия продлен» |
|