| Обозначение: |  ГОСТ 18466-73 |
| Статус: | действующий |
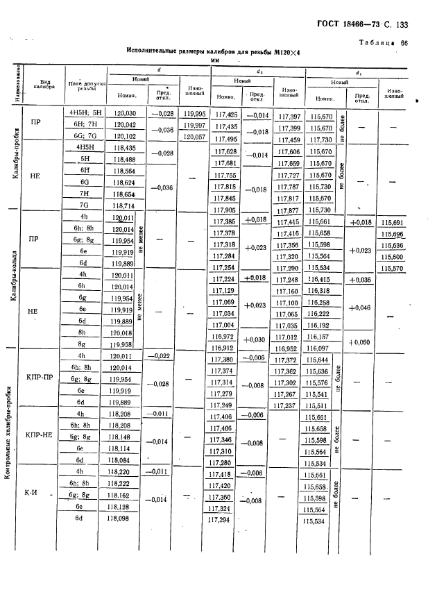
| Название рус.: | Калибры для метрической резьбы свыше 68 до 200 мм. Исполнительные размеры |
| Название англ.: | Gauges for metric thread over 68 to 200 mm. Required dimensions |
| Дата актуализации текста: | 06.04.2015 |
| Дата актуализации описания: | 01.07.2023 |
| Дата издания: | 01.06.1991 |
| Дата введения: | 01.07.1973 |
| Код ОКП: | 393100 |
| Взамен: | МН 3916-62;МН 5357-64 |
| Нормативные ссылки: | ГОСТ 16093-81; ГОСТ 24705-81; ГОСТ 24997-81 |
| Область применения: | Настоящий стандарт распространяется на резьбовые калибры для метрической резьбы |
| Список изменений: | №0 от 01.02.2004 (рег. 01.02.2004) «Дата введения перенесена» №1 от 30.06.1979 (рег. 12.03.1979) «Срок действия продлен» №2 от 01.08.1983 (рег. 14.03.1983) «Срок действия продлен» |
| Приложение №1: | Поправка к ГОСТ 18466-73 |
|